Espaces Vectoriels Flashcards

(51 cards)

1
Q

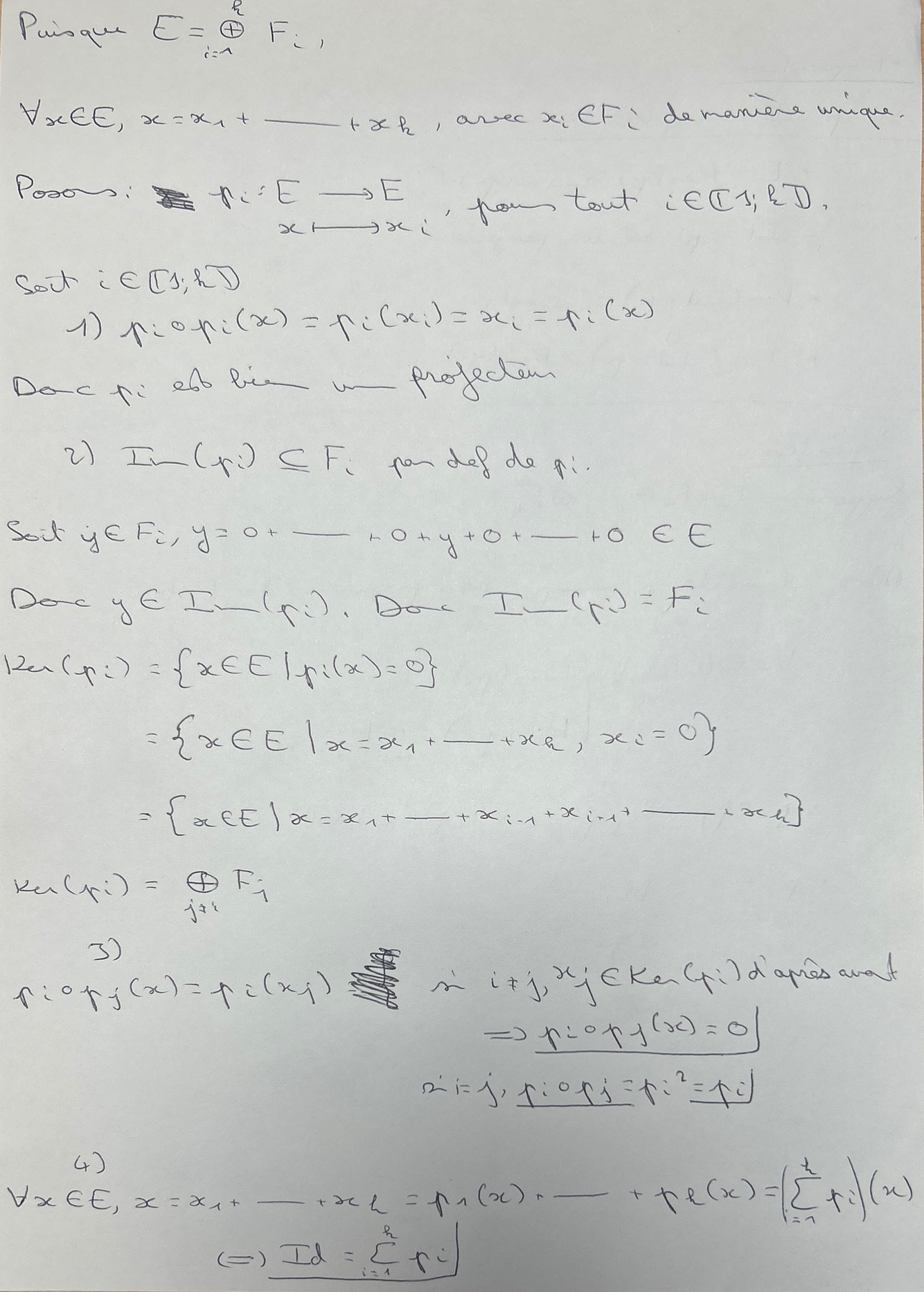
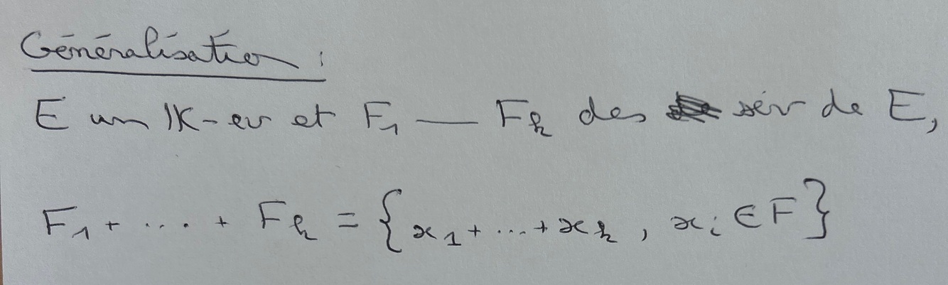
Définir la somme de k sous-espaces vectoriels

A
How well did you know this?
1
Not at all
2
3
4
5
Perfectly
2
Q

Qu’est-ce que la généralisation de la somme directe

A
How well did you know this?
1
Not at all
2
3
4
5
Perfectly
3
Q

Comment montrer la somme directe de plus de deux sous-espaces vectoriels ?

A

On revient à la définition, on montre l’unicité des coordonnées

How well did you know this?
1
Not at all
2
3
4
5
Perfectly
4
Q

Une combinaison linéaire peut-elle être infinie ?

A

Non, c’est le principe d’une combinaison linéaire

How well did you know this?
1
Not at all
2
3
4
5
Perfectly
5
Q

Montrer que cette famille est libre

A
How well did you know this?
1
Not at all
2
3
4
5
Perfectly
6
Q

Quelles sont les deux définitions d’une famille infinie base d’un ev ?

A
  • Famille libre et génératrice (son vect vaut l’espace)
  • Tout élément de l’espace s’écrit de manière unique comme combinaison linéaire de la famille
How well did you know this?
1
Not at all
2
3
4
5
Perfectly
7
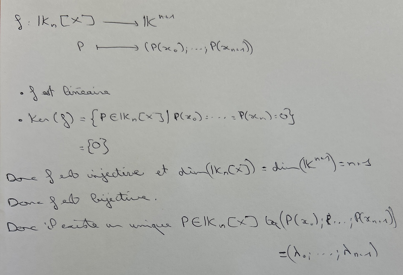
Q

Comment montrer algébriquement l’existence des polynômes de Lagrange ?

A
How well did you know this?
1
Not at all
2
3
4
5
Perfectly
8
Q

On appelle Γu l’ensemble des endomorphismes qui commutent avec u, montrer que c’est un espace vectoriel

A
How well did you know this?
1
Not at all
2
3
4
5
Perfectly
9
Q
A

(Attention, on ne peut pas utiliser le théorème du rang car E n’est pas forcément de dimension finie)

Intuitivement :

La restriction de T à F est injective ⇒ F est isomorphe à Im(T)
(montrer une bijectivité sur l’image revient à montrer une injectivité puisque T est forcément surjective sur son image)

On doit donc simplement rendre injective une application dans Im(T), on doit donc supprimer de l’espace de départ tous les éléments du noyau non nuls. Par hypothèse, aucun élément de F n’est dans le noyau, excepté 0, c’est ce qu’on veut. En prenant la restriction de T à F, on assure ainsi l’injectivité, en retirant tous les éléments du noyau.

Ainsi, la restriction de l’espace de départ à F assure l’injectivité et la restriction de l’espace d’arrivée à Im(T) assure la surjectivité

C’est exactement ce qu’on fait pour démontrer le théorème du rang et les matrices Jr

How well did you know this?
1
Not at all
2
3
4
5
Perfectly
10
Q

Comment montrer que tout sev admet un supplémentaire en dimension finie ?

A

On complète sa base et on considère l’espace engendré par ce qui complète

How well did you know this?
1
Not at all
2
3
4
5
Perfectly
11
Q

Comment montrer que la dimension du produit cartésien est la somme des dimensions ?

A

On considère la famille formée des couples (fi,0) et (0,gi), qui est de cardinal la somme des dimensions. On montre que c’est une base de F×G

How well did you know this?
1
Not at all
2
3
4
5
Perfectly
12
Q

Quelle est une méthode plus simple pour montrer que k sous-espaces sont en somme directe ?

A

Montrer que la dimension de la somme est la somme des dimensions (s’ils n’étaient pas en somme directe, ils se “mélangeraient” et la dimension de leur somme ne pourrait jamais atteindre la somme des dimensions)

How well did you know this?
1
Not at all
2
3
4
5
Perfectly
13
Q

Que vaut dim(L(E,F)) ?

A

dim(L(E,F)) = dim(E) × dim(F)

How well did you know this?
1
Not at all
2
3
4
5
Perfectly
14
Q

Si on a P un matrice de passage de F1 vers F2, quel est le lien entre la matrice de x€E dans F1, dans F2 et P ?

A

On appelle X1 la matrice colonne qui contient les coordonnées de x dans F1 (la matrice de x dans F1) et X2 la matrice colonne qui contient les coordonnées de x dans F2 (la matrice de x dans F2).

Alors, X1 = P × X2 : les anciennes coordonnées sont P fois les nouvelles

How well did you know this?
1
Not at all
2
3
4
5
Perfectly
15
Q

Qu’appelle-t-on A et B équivalentes ?

A

Pour semblables comme pour équivalents on fait un changement de bases, juste pour semblables on fait le même changement de base pour l’espace d’arrivée et l’espace de départ alors que pour équivalentes on fait pas forcément le même

How well did you know this?
1
Not at all
2
3
4
5
Perfectly
16
Q

Démontrer le théorème du rang, que donne-t-il de plus fort que juste l’égalité de dimensions ?

A

Il donne que dès qu’on complète une base de Ker(T), l’image de la famille qui complète est une base de Im(T)

Pour la liberté, on peut juste dire que x€Ker(T) n Vect(ep+1, …, en), donc Σ… = 0, donc λ… = … = … = 0

How well did you know this?
1
Not at all
2
3
4
5
Perfectly
17
Q
A

Intuitivement, sachant que (e_p — e_n, …) est une base de E, cela revient à montrer que (T(e_p) — T(e_n), …) est une base de E, car alors on a un 1 sur toute la première diagonale : T(ei) (image de la base 1) = T(ei) (base 2), puis des 0 partout puisqu’on prend l’image du reste de la première base, qui est donc l’image d’éléments du noyau.

How well did you know this?
1
Not at all
2
3
4
5
Perfectly
18
Q

Qu’appelle-t-on polynome en u€L(E)

A
How well did you know this?
1
Not at all
2
3
4
5
Perfectly
19
Q

Qu’appelle-t-on polynôme annulateur d’un endomorphisme ? À quoi faut-il faire attention ?

A
How well did you know this?
1
Not at all
2
3
4
5
Perfectly
20
Q

Si u o v = Id, que peut-on dire de manière générale ?

A

u est injective et v est surjective

How well did you know this?
1
Not at all
2
3
4
5
Perfectly
21
Q

Quelles sont les quatre propriétés d’un projecteur ?

A

Id - p est l’application qui projette sur l’ensemble privé de la projection de p, c’est donc le «projecteur opposé» en quelque sorte : les coordonnées qui sont prisent par Id - p (qui donc forment son image) sont celles qui ne sont pas prisent par p (qui donc forment son noyau) et inversement

22
Q

Que peut-on dire au niveau des projecteurs si k sous-espaces sont en somme directe ?

23
Q

Démontrer

24
Q

Définir le produit par blocs

25
Définir le déterminant par bloc lorsqu’au moins l’un des blocs antidiagonaux est nul
26
Par analyse synthèse
C’est en fait un produit scalaire, on trouve l’expression de A en appliquant le produit scalaire dans la BON des Ei
27
Expliquer la définition de matrices équivalentes
28
Comment traduire u(x) = u(y) si u est une application linéaire ?
x - y € Ker(u)
29
Qu’est-ce que le théorème fondamental de l’algèbre linéaire ? Justif
30
Si u est une application linéaire de E dans F, comment exprimer Im(u) à partir d’une base de E ?
Si (e1, —, en) est une base de E : Im(u) = Vect(u(e1), —, u(en))
31
Comment définir une application linéaire par restriction à des supplémentaires ? Justif
32
Définir la projection p sur F parallèlement à G
33
À quelle condition uov est-elle linéaire ?
34
Qu’est-ce que la propriété de distributivité sur L(E) ?
35
Si u et v sont des isomorphismes, que peut-on dire de leur composée et de son inverse ?
36
Que peut-on dire de l’image d’une forme linéaire ? Justif
37
Que peut-on dire du produit scalaire par rapport à une seule de ses variables ?
38
Justif
39
Si φ et ψ sont des formes linéaires, à quoi équivaut Ker(φ) = Ker(ψ) ? Justif
40
Comment majorer le rang de u allant de E dans F ? Justif
Car : - Im(u) = Vect(u(e1), —, u(en)), donc rg(u) ≤ |u(e1) — u(en)| = dim(E) - Im(u) ⊂ F, donc rg(u) ≤ dim(F)
41
Justif
42
Comment traduire « x et y sont colinéaires » en termes de famille ?
(x,y) est liée
43
Comment caractériser F1 + … + Fn ?
Une sorte d’union étendue en sev
44
Comment traduire F1, …, Fn en somme directe, en terme de famille ?
F1, …, Fn sont en somme directe ssi toute famille (x1, …, xn) € F1×…×Fn de vecteurs non nuls est libre
45
Qu’est-ce que ça donne dans le cas d’espaces de dimensions 1
46
Montrer qu’on peut définir (et définir) la projection de IK[X] sur IKn-1[X] parallèlement à P.IK[X] (l’ensemble des multiples de P), si P€IKn[X]
47
Que peut-on dire de manière générale sur rg(x1, …, xp) ? Quel est le cas particulier interessant ?
48
Montrer que u(IRn[X]) = IRn-1[X]
49
Par quoi peut-on remplacer l’hypothèse « F et G en somme directe » pour montrer que F ⊕ G = E ?
50
À quoi faut-il penser si on veut montrer une égalité ou une inégalité sur des dimensions d’espaces qui sont décalés en homogénéité (E et L(E) par exemple) ?
Prendre une application qui va de l’un dans l’autre et regarder ce que ça veut dire qu’elle est injective / surjective / bijective, avec le théorème du rang (et Im ⊂ espace d’arrivée, et Ker ⊂ espace de départ)
51
Si u est une application linéaire de E dans F, comment exprimer Im(u) à partir d’une base de E ?
Si (e1, —, en) est une base de E : Im(u) = Vect(u(e1), —, u(en))