What does the word “distribute” mean in algebra?
“Distribute” is another word for expand by multiplying (break the brackets)
What is the distributive law of multiplcation of an algebraic expression?
a(b + c)
It is the general rule for expansion of bracketed terms in an algebraic expression
a(b + c) = ab + ac
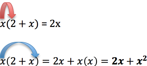
Expand (distribute) the following:

Get rid of the bracket by multiplying what’s outside by each thing that’s inside

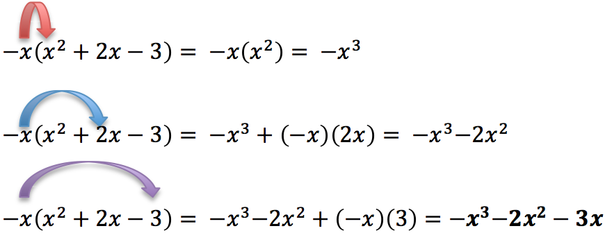
Expand the following:

Careful with that negative sign in front of the 3!

Distribute


Distribute the following:


What is a BINOMIAL?
A BINOMIAL is an expression that contains two terms.
e.g. (2x -1)
What is a TRINOMIAL?
A trinomial is an expression that contains THREE terms.
e.g. x2 + 2x + 1
What is the FOIL method?
It’s for expanding two sets of brackets that contain binomials, like
(x+1)(x+2)
F: first
O: outside
I: inside
L: last

Answer: x2 + 3x + 2. How?

(Don’t forget to combine like terms at the end)

