Polynomials (INCOMPLETE) Flashcards

(5 cards)

1
Q

How do you add these polynomials?

A
How well did you know this?
1
Not at all
2
3
4
5
Perfectly
2
Q

How do you subtract these polynomials?

A
How well did you know this?
1
Not at all
2
3
4
5
Perfectly
3
Q

How do you add these polynomials?

A
How well did you know this?
1
Not at all
2
3
4
5
Perfectly
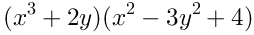
4
Q

How do you find the product of two polynomials?

A
How well did you know this?
1
Not at all
2
3
4
5
Perfectly
5
Q

How do you perform long division with polynomials?

A
How well did you know this?
1
Not at all
2
3
4
5
Perfectly