Lecture 23b Flashcards

(34 cards)

1
Q

What are Discontinuous Traits?

A

Traits that fall into 2 discrete categories.

How well did you know this?
1
Not at all
2
3
4
5
Perfectly
2
Q

“The alleles that govern these traits affect the phenotype in a qualitative way (roll your tongue)”

What type of traits is this?

A

Discontinuous traits

How well did you know this?
1
Not at all
2
3
4
5
Perfectly
3
Q

What are Quantitative Traits?

A

Traits that show a continuum of variation within a group of individuals.

How well did you know this?
1
Not at all
2
3
4
5
Perfectly
4
Q

Are the heights of students discontinuous or quantitative traits?

A

Quantitative, because there are more than 2 discrete categories.

How well did you know this?
1
Not at all
2
3
4
5
Perfectly
5
Q

“A trait that varies measurably in a given species.”

What type of trait is this?

A

Quantitative trait

How well did you know this?
1
Not at all
2
3
4
5
Perfectly
6
Q

Name 4 traits that are quantitative traits.

A

Anatomical traits, physiological traits, behavioral traits, and diseases.

How well did you know this?
1
Not at all
2
3
4
5
Perfectly
7
Q

Most quantitative traits are ___________ and exhibit a __________ of phenotypic variation.

A

polygenic, continuity

How well did you know this?
1
Not at all
2
3
4
5
Perfectly
8
Q

What is Polygenic Inheritance?

A

The transmission of traits that are governed by 2 or more genes.

How well did you know this?
1
Not at all
2
3
4
5
Perfectly
9
Q

What are Quantitative Trait Loci (QTLs)?

A

The locations on chromosomes that affect the outcome of quantitative traits.

How well did you know this?
1
Not at all
2
3
4
5
Perfectly
10
Q

T/F: Quantitative Trait Loci (QTLs) may contain one or more genes, one or many of which may affect quantitative traits.

A

True!

How well did you know this?
1
Not at all
2
3
4
5
Perfectly
11
Q

What is the reasoning that often many genes will affect quantitative traits?

A

There are clusters of genes which include several genes and these clusters can be in the quantitative trait loci (QTLs).

How well did you know this?
1
Not at all
2
3
4
5
Perfectly
12
Q

When we say most quantitative traits are polygenic, what does this mean?

A

Several genes can control a trait.

How well did you know this?
1
Not at all
2
3
4
5
Perfectly
13
Q

Who performed the first demonstration that continuous variation is related to polygenic inheritance?

A

Herman Nilsson-Ehle in 1909

How well did you know this?
1
Not at all
2
3
4
5
Perfectly
14
Q

T/F: It is possible to categorize many polygenic traits into discrete genotypic categories.

A

False! Many polygenic traits are difficult or impossible to categorize into discrete genotypic categories.

How well did you know this?
1
Not at all
2
3
4
5
Perfectly
15
Q

What are 2 instances that make polygenic traits even more difficult to categorize into categories?

A
  1. When the number of genes controlling the trait increases or 2. when the influence of the environment increases.
How well did you know this?
1
Not at all
2
3
4
5
Perfectly
16
Q

T/F: More genes controlling the trait = more continuous traits

17
Q

T/F: A Punnett square can be used to analyze most quantitative traits.

A

False! A Punnett square cannot be used to analyze most quantitative traits because they cannot be categorized. Instead, we must use statistical methods.

18
Q

When we say that there is generally a “normal distribution” of a quantitative trait, what do we mean?

A

There is often a Bell Curve for the distribution of measurements of many biological characteristics. There is a cluster of measurements in the middle of the curve.

19
Q

What is this the equation for? Explain the variables

A

This is the mean

X with the line is the mean
SX is the sum of all values in the group
N is the number of individuals/measurements total in the group.

20
Q

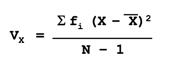
What is this equation for? Explain the variables

21
Q

What is a common way to evaluate variation within a population?

22
Q

What is this the equation for? Explain the variables

23
Q

Why are Variances important in the analysis of quantitative traits?

A

Because they are additive under certain conditions.

24
Q

What can we do with the variances of genetic and environmental factors that contribute to a quantitative trait?

A

We can add them together to predict the total variance for that trait.

25
What is the Standard Deviation?
Square root of the variance
26
In a normal distribution, what percentage of the measurements is 1 SD? What about 2 and 3?
27
In a normal distribution, what is the percentage of individuals that have values more or less than 3 SDs from the mean?
Less than 0.3% of the individuals will have values that are more or less than 3 SDs from the mean.
28
Some statistical methods compare 2 variables to each other. When would be 3 times we would want to do this?
1) Compare the occurrence of 2 phenotypic traits 2) Compare between traits and environmental factors 3) Compare between traits and genetic relationships
29
What is Covariance?
Describes the degree of variation between 2 variables within a group.
30
T/F: Covariance is a very intuitive thing.
Covariance is not a very intuitive thing.
31
What is this equation? Explain the variables.
Covariance
32
What does the Correlation Coefficient allow for?
Allows us to determine the strength of association between 2 variables.
33
T/F: Correlation Coefficient is very intuitive.
True!
34
What is this equation for?
Correlation coefficient