
the dry-adiabatic lapse rate

Poisson’s equation
the left hand side term is

potential temperature
the vertical potential temperature profile is used to determine
static stability
examination of the horizontal ɵ distribution is useful in
locating frontal boundaries
When diabatic processes are negligible, air parcels are constrained to travel along surfaces of
constant ɵ, known as isentropic surfaces.
as isentropic surfaces
surfaces of constant ɵ
The lowest 1 km is characterized by
unsaturated turbulent mixing
the temperature of rising and sinking air parcels follows the ………………………………….., meaning that potential temperature is ……………………………for parcels moving in this layer
dry-adiabatic lapse rate, conserved
In the presence of solar heating, there may even be a slight …………………………………….immediately ……………………the surface, indicated by a small zone where potential temperature………………………………
superadiabatic layer, above , decreases with height
Surface-based mixed layers usually correspond to the
planetary boundary layer
Surface-based mixed layers usually correspond to the planetary boundary layer. The mixed layer depth has important implications for
air pollution , forecasting surface temperature and wind conditions
Adiabatic mixed layers correspond to
neutral stability
In the midlatitude troposphere, potential temperature typically ……………………….with height.
increase
The more rapid the increase of θ with height, the more …………………….is the atmospheric profile.
stable
The equivalent potential temperature is ………………………….for a wide majority of atmospheric flows, and is related to ………………………….
conserved, stability
When θe decreases with height, the atmosphere is said to be
potentially or convectively unstable
potentially or convectively unstable mean that
if the layer in which θe decreases with height was lifted to saturation, then an unstable lapse rate would result. This situation is often found when potentially colder or drier air is located above warm, moist air.

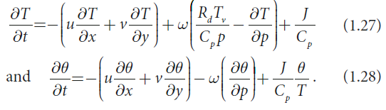
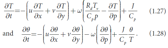
prognostic equations for the local tendency of temperature or potential temperature
(Differentiating the first law of thermodynamics with respect to time)
explain the terms

thermal advection, vertical motion, diabatic processes