What will QG Theory do for us?
–It reveals how …………………………………….. and ………………………………… constrain and simplify atmospheric motions, but in a realistic manner
hydrostatic balance and geostrophic balance
What will QG Theory do for us?
It provides a simple framework within which we can understand and diagnose the ……………………………………
evolution of three-dimensional synoptic-scale weather systems
What will QG Theory do for us?
It predicts the evolution of synoptic-scale systems by
diagnosing changes in the local geopotential height field from the observed distributions of vorticity advection and temperature advection.
What will QG Theory do for us?
It estimates synoptic-scale ………………………………………………………….
vertical motions from the observed distribution of vorticity and temperature advection.
What will QG Theory do for us?
It helps us to understand how the ………………………………………………….and the ………………………………………………………………….interact to create ………………………………..that result in realistic synoptic scale weather patterns
mass fields (via horizontal temperature advection)
momentum fields (via horizontal vorticity advection)
vertical circulations
What will QG Theory do for us?
It offers physical insight into the forcing of ………………………………………………. and ……………………………………………………….associated with mid-latitude cyclones
vertical motion and the cloud/precipitation patterns
Rotational momentum:
Rotation around an axis (less effort)
Momentum equations and linear momentum
momentum equations: du/dt, dv/dt. dw/dt
linear momentum: ΣF = dp/dt = m* d/dt = ma
From our mathematical derivation of QG theory, QG theory has the following assumptions
meaning of adiabatic
No change of heat between air parcel and surrounding air “when air parcel is rising it will cool due to expansion/increase of volume”
(Source of heat must exist)
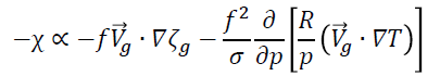
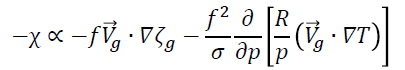
QG Height Tendency Equation

The following equation represents

QG height tendency equation
Term A corresponds to

local horizontal advection of geostrophic vorticity
Term B correspond to

change in temperature advection with height
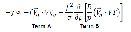
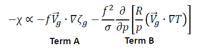
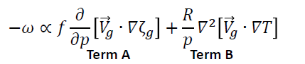
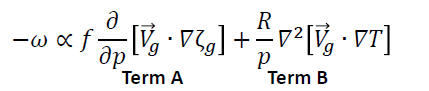
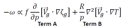
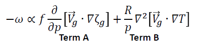
QG omega equation

The following equation represents

QG omega equation
Term A correspond to

change in vorticity advection with height
Term B correspond to

local maximum in temperature advection
If large changes in the vorticity advection with height are observed, then you should expect…………………………………….
large vertical motions
The stronger the temperature advection, the stronger the ……………………….
vertical motion
If WAA is observed at several consecutive pressure levels, expect a…………………………………………………motion
deep layer of rising
The QG omega equation is proportional to
vorticity advection & advection of maximum temperature (local)
vorticity advection & advection of maximum temperature (local) usually work
opposite to each other
if term A in the QG omega equation is +ve and term B is -ve the result is
rising air