Particles Flashcards

(55 cards)

1
Q

Which part of the atom has the largest specific charge and why?

A

The electron

(It has the same magnitude of charge as the proton but a much smaller mass)

How well did you know this?
1
Not at all
2
3
4
5
Perfectly
2
Q

Why do the proton, neutron and electron deflect differently in a magnetic field?

A

Neutron → 0 specific charge so zero deflection

Electron → Greatest specific charge so greatest deflection

Proton → Smaller deflection in opposite direction as specific charge smaller and opposite

How well did you know this?
1
Not at all
2
3
4
5
Perfectly
3
Q

How do you calculate the specific charge of a nucleus?

A

Divide the total charge of the protons by the total mass of nucleus

(Protons + Neutrons)

How well did you know this?
1
Not at all
2
3
4
5
Perfectly
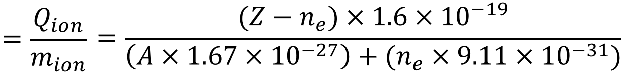
4
Q

How do you calculate the specific charge of an ion?

A

Charge of the ion (Protons - Electrons) divided by total mass of ion

How well did you know this?
1
Not at all
2
3
4
5
Perfectly
5
Q

What is an isotope?

A

An atom with the

  1. same number of protons
  2. Different number of neutrons
How well did you know this?
1
Not at all
2
3
4
5
Perfectly
6
Q

When will an isotope undergo radioactive decay?

A

If the nucleus has:

  1. too many or too few protons
  2. Too many nucleons
  3. Too much vibrational energy
How well did you know this?
1
Not at all
2
3
4
5
Perfectly
7
Q

What happens in alpha (α) decay?

A

A nucleus ejects a helium nucleus (2 protons and 2 neutrons)

Decreasing its nucleon number by 4

And its proton number by 2

How well did you know this?
1
Not at all
2
3
4
5
Perfectly
8
Q

What happens in Beta Minus (β-) Decay?

A

A neutron turns into a proton

Ejecting a fast moving electron (β-) and an anti-electron neutrino

How well did you know this?
1
Not at all
2
3
4
5
Perfectly
9
Q

What happens in Beta Plus (β+) Decay?
(Also known as Positron Emission)

A

A proton turns into a neutron

Ejecting a fast moving positron (β+) and an electron neutrino

How well did you know this?
1
Not at all
2
3
4
5
Perfectly
10
Q

What is wrong about this Beta Decay equation?

A

The nucleon number must not change

How well did you know this?
1
Not at all
2
3
4
5
Perfectly
11
Q

Why do the α, β-, β+ and γ deflect differently in a magnetic field?

A

α and β+ → Deflect in same direction but β+ larger (greater specific charge)

β- → Equal and opposite deflection to β+ (Equal and opposite specific charge)

γ → No deflection (no specific charge)

How well did you know this?
1
Not at all
2
3
4
5
Perfectly
12
Q

What is an antiparticle?

A

A particle with the:

  1. Same mass
  2. But equal and opposite charge
How well did you know this?
1
Not at all
2
3
4
5
Perfectly
13
Q

What happens during Annihilation?

A

A particle collides and annihilates with its correspond antiparticle

And their mass energy (E=mc2) is converted to radiation energy

Producing at least 2 gamma photons

How well did you know this?
1
Not at all
2
3
4
5
Perfectly
14
Q

Why do at least 2 photons need to be created during annihilation?

A

To conserve momentum

Before annihilation ptotal = 0

AFter annihilation ptotal = 0 (can’t be achieved with one photon)

How well did you know this?
1
Not at all
2
3
4
5
Perfectly
15
Q

What happens during pair production?

A

A gamma photon (with energy ≥ 2 × mass energy)

spontaneously creates a particle, anti-particle pair

How well did you know this?
1
Not at all
2
3
4
5
Perfectly
16
Q

What condition must pair production meet?

A

The energy of the gamma photon ≥ Mass energy of the particle anti-particle pair

(Any excess energy is used a kinetic energy for the particles produced)

How well did you know this?
1
Not at all
2
3
4
5
Perfectly
17
Q

How was the anti-electron neutrino discovered?

A

During Beta decay the emitted β- had less energy than expected so another particle carried the rest of the energy

How well did you know this?
1
Not at all
2
3
4
5
Perfectly
18
Q

What are the four fundamental forces and their approximate ranges?

A
  1. Strong
  2. Weak
  3. Electromagnetic
  4. Gravitational
How well did you know this?
1
Not at all
2
3
4
5
Perfectly
19
Q

What does the strong force do?

What is the exchange particle of the strong force?

A

Holds nucleons together in the nucleus

  • By opposing the electromagnetic repulsion of the protons
  • By attracting nucleons at small distances but repelling the, at very small distances

Gluons (between quarks), or pions (between hadrons)

How well did you know this?
1
Not at all
2
3
4
5
Perfectly
20
Q

Describe the nature of the strong force

A

Very repulsive over short distance (0-0.5fm)

Attractive over larger distances (0.5fm < d < 3fm)

Negligible beyond 3fm

How well did you know this?
1
Not at all
2
3
4
5
Perfectly
21
Q

What does the electromagnetic force act between and what is its exchange particle?

A

Acts between all particles with charge

Exchange particle is the photon

How well did you know this?
1
Not at all
2
3
4
5
Perfectly
22
Q

What does the gravitational force act between?

A

Particles or objects with mass

How well did you know this?
1
Not at all
2
3
4
5
Perfectly
23
Q

What particles does the weak force act on and what does it do?

A

Acts between leptons and hadrons and causes the decay of hadrons (by changing quark structure)

24
Q

What are fundamental particles that make up the standard model? (that you need to know)

A

NOTE: Each of the leptons and and quarks has an corresponding anti-lepton and anti-quark

25
What is the quark structure of a proton?
Up, Up, Down
26
What is the quark structure of a neutron?
Up, down, down
27
How is a muon different from an electron?
Both are leptons, muon is much heavier than the electron, produced in cosmic ray showers
28
What are hadrons?
**Particles that are made up of quarks**
29
How are baryons and mesons different?
Both are hadrons (made up of quarks) But **Baryons are made up of 3 quarks** And **Mesons are made up of 1 quark 1 anti-quark**
30
What are the similarities and differences between **W bosons and photons?**
**Both are exchange particles** But **W bosons mediate the weak force, Photons mediate electromagnetic** W bosons carry charge of +1 or -1, Photons have no charge W bosons have mass, Photons are massless
31
What are the similarities and differences between gluons and pions?
**Both mediate the strong force** **But gluons act between quarks, Pions act between hadrons** (to keep the nucleus together) Gluons have no mass, Pions have mass
32
What does the **Higgs Boson do?**
It **creates the Higgs field** Which **gives mass to particles**
33
What quantities are **always conserved in every interaction?**
* **Total momentum** * **Total energy** * **Charge** * **Baryon** * **Lepton number** NOTE 1: **Kinetic energy** is conserved in **elastic collisions** NOTE 2: **Strangeness** is conserved in all interactions **apart from weak where it can't change by more than 1**
34
What must you know about k-mesons? (kaons)
They are made of **1 quark and 1 anti-quark** (mesons) ## Footnote **They have non-zero strangeness** **Produced by strong interactions, Decay (into pions) by weak interactions**
35
What must you know about π-mesons? (pions)
They are **made up of 1 quark and 1 anti-quark (mesons)** ## Footnote **They have strangeness = 0**
36
What is the most stable lepton and what is the most stable hadron? (That other isolated particle will eventually decay into)
The **electron** and the **proton**
37
Why can't this muon decay happen like this? (What's the mistake with the logic in the table?)
When electron and muon type particles are involve **each lepton number must be considered separately**
38
What is the formula for a muon decaying into an electron?
39
What is the feynman diagram for an electron-electron collision?
40
What is the feynman diagram for **β- Decay?**
41
What is the feynman diagram for **β+ Decay?**
42
What is the quark feynman diagram for **β- Decay?**
43
What is the quark feynman diagram for **β+ Decay?**
44
Identify the unknown particles in this feynman diagram for electron capture
45
Identify the unknown particle in this feynman diagram for the electron proton collision
46
Identify the unknown quark in the feynman diagram for electron capture
47
Identify the unknown exchange particle in the quark feynman diagram of electron proton collision
48
Which particles have a baryon number = +1? Which have a B = -1? Which have a B = 0
**Baryons = +1** **Anti-Baryons = -1** **All other particles (including mesons) = 0**
49
Which particles have a Lepton number = +1? Which have a L = -1? Which have a L = 0
**Leptons = +1** **Anti-Leptons = -1** **All other particles = 0**
50
What is the muon lepton number of an electron?
0! Only muons and muon neutrinos have Lmuon = +1
51
What is the electron lepton number of a muon?
0! Only electrons and electron neutrinos have Lelectron = +1
52
Can this decay happen? (Xi has quark structure uss)
No because in the **weak interaction** **strangeness cannot change by more than 1**
53
What is a **fundamental particle**?
A particle not up made of any smaller particles (eg leptons, quarks, bosons)
54
Give 2 examples of **fundamental particles**
* Any Quark (up, down, strange) * Any lepton (electron, muon, neutrino) * Any boson (gluon, W bosons, Z boson, photon) * Higgs boson
55
Why is a proton not a **fundamental particle**?
It is made up of smaller particles (up, up, down quarks)