reaction pathway Flashcards

(43 cards)

1
Q

alkene to haloalkane

A

hydrogen halide

How well did you know this?
1
Not at all
2
3
4
5
Perfectly
2
Q

alkene to alkane

A

H2/ Ni

How well did you know this?
1
Not at all
2
3
4
5
Perfectly
3
Q

Alkene to alcohol

A

H2o steam/ h3Po4

How well did you know this?
1
Not at all
2
3
4
5
Perfectly
4
Q

alcohol to alkene

A

h3po4 or h2SO4 and heat

How well did you know this?
1
Not at all
2
3
4
5
Perfectly
5
Q

alcohol to haloalkane

A

sodium halide/ H2So4

How well did you know this?
1
Not at all
2
3
4
5
Perfectly
6
Q

Haloalkane to alcohol

A

NaOH (aq)

How well did you know this?
1
Not at all
2
3
4
5
Perfectly
7
Q

Alkane to haloalkane

A

halogen and Uv light

How well did you know this?
1
Not at all
2
3
4
5
Perfectly
8
Q

haloalkane to nitrile

A

CN- / ethanol

How well did you know this?
1
Not at all
2
3
4
5
Perfectly
9
Q

Haloalkane to amine

A

NH3/ ethanol

How well did you know this?
1
Not at all
2
3
4
5
Perfectly
10
Q

nitrile to amine

A

H2/ Ni

How well did you know this?
1
Not at all
2
3
4
5
Perfectly
11
Q

Nitrile to carboxylic acid

A

H2O/ HCl and heat

How well did you know this?
1
Not at all
2
3
4
5
Perfectly
12
Q

Hydroxynitrile to amine

A

H2 / Ni

How well did you know this?
1
Not at all
2
3
4
5
Perfectly
13
Q

Ketone to hydroxynitrile

A

NaCN (aq)/ H+ (aq)

How well did you know this?
1
Not at all
2
3
4
5
Perfectly
14
Q

Alcohol to ketone

A

K2Cr2O7/ H2SO4 and reflux

2nd alcohol

How well did you know this?
1
Not at all
2
3
4
5
Perfectly
15
Q

ketone to alcohol

A

2nd alcohol

NaBH4

How well did you know this?
1
Not at all
2
3
4
5
Perfectly
16
Q

Aldehyde to alcohol

A

primary

NaBH4

How well did you know this?
1
Not at all
2
3
4
5
Perfectly
17
Q

Alcohol to aldehyde

A

K2Cr2O7/ H2so4 distillation

secondary

How well did you know this?
1
Not at all
2
3
4
5
Perfectly
18
Q

aldehyde to hydroxynitrile

A

NaCN (aq)/ H+ (aq)

19
Q

aldehyde to carboxylic acid

A

K2CrO7 / H2SO4 and reflux

20
Q

carboxylic acid to ester

A

alcohol/ Conc H2S04

21
Q

Ester to carboxylic acid

A

dilute acid and heat

22
Q

ester to carboxylate

23
Q

carboxylic acid to acyl chloride

24
Q

Acyl chloride to carboxylic acid

25
hydroxynitrile to carboxylic acid
H2O/ HCl and heat
26
Acyl chloride to primary amide
NH3
27
Acyl chloride to secondary amide
primary amine
28
acyl chloride to ester
alcohol
29
ester to carboxylate
OH- and heat
30
alcohol to ester
carboxylic acid/ conc H2SO4 or acid anhydride
31
aldehyde to hydroxnitrile
NACN (aq) / H+ (aq)
32
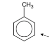
benzene to
CH3Cl/ Alcl3
33
Benzene to
Br2 ALBr3 or Fe or FeBr3
34
Benzene to
cl2 ALCl3 or Fe or Fecl3
35
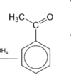
Benzene to
CH3COOCl and ALCl3
36
NaBH4
37
Benzene to
conc HNO3 and conc H2S04
38
Sn/ conc HCl
39
Br2
40
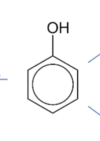
phenol to
Br2
41
Phenol
42
phenol to
NAOH (aq)
43
Phenol to
Dilute HNO3