Y12 0001 Transition Flashcards

(6 cards)

1
Q

The sine rule states:

A
How well did you know this?
1
Not at all
2
3
4
5
Perfectly
2
Q

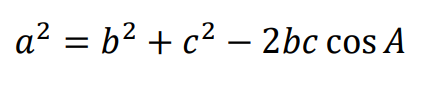
The cosine rules states:

A
How well did you know this?
1
Not at all
2
3
4
5
Perfectly
3
Q

The area of a triangle is:

A
How well did you know this?
1
Not at all
2
3
4
5
Perfectly
4
Q

How would you start?

A

2 angles, 2 sides … sine rule

How well did you know this?
1
Not at all
2
3
4
5
Perfectly
5
Q

How would you start?

A

3 sides, 1 angle …. cosine rule

How well did you know this?
1
Not at all
2
3
4
5
Perfectly
6
Q

The area is 16 and you want to find theta. How would you start?

A
How well did you know this?
1
Not at all
2
3
4
5
Perfectly