Y12 002 Quadratics Flashcards

(23 cards)

1
Q

What methods are used to solve a quadratic equation?

A
How well did you know this?
1
Not at all
2
3
4
5
Perfectly
2
Q
A

Complete the square.

How well did you know this?
1
Not at all
2
3
4
5
Perfectly
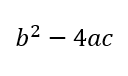
3
Q
A
How well did you know this?
1
Not at all
2
3
4
5
Perfectly
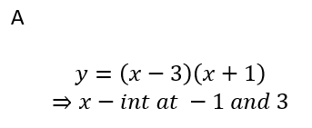
4
Q
A
How well did you know this?
1
Not at all
2
3
4
5
Perfectly
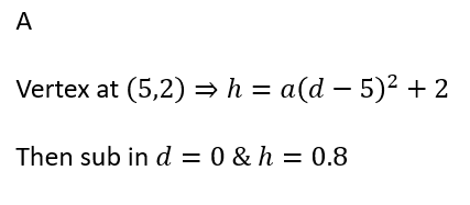
5
Q
A
How well did you know this?
1
Not at all
2
3
4
5
Perfectly
6
Q
A
How well did you know this?
1
Not at all
2
3
4
5
Perfectly
7
Q
A
How well did you know this?
1
Not at all
2
3
4
5
Perfectly
8
Q
A
How well did you know this?
1
Not at all
2
3
4
5
Perfectly
9
Q
A
How well did you know this?
1
Not at all
2
3
4
5
Perfectly
10
Q

Real roots / solutions implies…

A
How well did you know this?
1
Not at all
2
3
4
5
Perfectly
11
Q

Equal roots implies…
(One real root / one solution / one point of intersection / tangent …)

A
How well did you know this?
1
Not at all
2
3
4
5
Perfectly
12
Q

Two distinct real roots implies…
(Two solutions / two points of intersection…)

A
How well did you know this?
1
Not at all
2
3
4
5
Perfectly
13
Q

No real roots implies…
(No solutions / no points of intersection…)

A
How well did you know this?
1
Not at all
2
3
4
5
Perfectly
14
Q
A
How well did you know this?
1
Not at all
2
3
4
5
Perfectly
15
Q

What should you consider when sketching a quadratic?

A
How well did you know this?
1
Not at all
2
3
4
5
Perfectly
16
Q

Which is the correct graph for the given equation.

17
Q

Which is the correct graph for the given equation.

18
Q

Which is the correct graph for the given equation.

19
Q

Which is the correct graph for the given equation.

20
Q

What are the 3 forms of the quadratic equation and when would you use them in a modelling question?