1. Refractometry Flashcards

(30 cards)

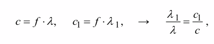
1
Q

What is the absolute index of refraction?

A

the ratio of the speed of light in vacuum (c) to that in the medium (c1) such that

How well did you know this?
1
Not at all
2
3
4
5
Perfectly
2
Q

the wavelength of light is ___(smaller/higher) in the medium than in vacuum

A

smaller

How well did you know this?
1
Not at all
2
3
4
5
Perfectly
3
Q

What does this equation mean?

A
How well did you know this?
1
Not at all
2
3
4
5
Perfectly
4
Q

What is refraction?

A

if a beam of light strikes a boundary surface separating two different media, and if this incident ray is not perpendicular to this surface, then the transmitted ray changes its direction and becomes refracted.

How well did you know this?
1
Not at all
2
3
4
5
Perfectly
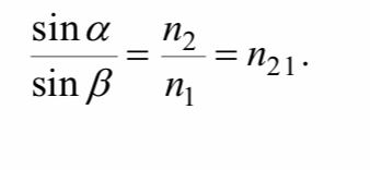
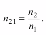
5
Q

What is RELATIVE INDEX OF REFRACTION?

A

the ratio of the indices of refraction of the two media

How well did you know this?
1
Not at all
2
3
4
5
Perfectly
6
Q

What is SNELL’S LAW OF REFRACTION:?

A

the ratio of the sine of the angle of incidence (􏰬alpha) to that of angle of refraction ( beta ) equals the relative index of refraction of the second medium.

How well did you know this?
1
Not at all
2
3
4
5
Perfectly
7
Q

What is CRITICAL ANGLE?

A

the largest angle of refraction (􏰵 c) corresponding to the grazing ray (angle of incidence approaching 90 degrees).

How well did you know this?
1
Not at all
2
3
4
5
Perfectly
8
Q

What is GRAZING RAY?

A

Tangential ray traveling along the boundary surface of the two media, which has an angle of incidence close to right angle, considered in the limiting case as 90 degree

How well did you know this?
1
Not at all
2
3
4
5
Perfectly
9
Q

What is the formula for operation of Abbe’s refractometer? Why?

A
How well did you know this?
1
Not at all
2
3
4
5
Perfectly
10
Q

The index of refraction has a dependence on ___

A

the frequency of light

How well did you know this?
1
Not at all
2
3
4
5
Perfectly
11
Q

The index of refraction has a dependence on the frequency of light (and therefore on wavelength measured in vacuum)
-> white light is decomposed into ___ when entering and passing through an ___

A

colors
optically dense medium.

How well did you know this?
1
Not at all
2
3
4
5
Perfectly
12
Q

What is DISPERSION?

A

the index of refraction has a dependence on the frequency (and therefore on the wavelength measured in vacuum) of light
-> Thus, the rays of different colors are refracted at different angles on the surfaces of prisms and lenses.

How well did you know this?
1
Not at all
2
3
4
5
Perfectly
13
Q

If a ray of white light (of a wavelength range from 400 nm to 800 nm) is incident at some angle on the boundary surface, then the refracted ray is spread into its (1)___, because the angle of refraction is slightly different for the different colors (wavelengths)

A

component colors (of a rainbow)

How well did you know this?
1
Not at all
2
3
4
5
Perfectly
14
Q

If a ray of white light (of a wavelength range from 400 nm to 800 nm) is incident at some angle on the boundary surface, then the refracted ray is spread into its component colors (of a rainbow)

→ Why does this happen?

A

because the angle of refraction is slightly different for the different colors (wavelengths)

How well did you know this?
1
Not at all
2
3
4
5
Perfectly
15
Q

Disadvantage of dispersion? How to compensate for this?

A

causes an unwanted blurring effect

→ To compensate for this, compound prisms are built from prisms with different indeces of refraction.

How well did you know this?
1
Not at all
2
3
4
5
Perfectly
16
Q

The structure and role of compensator used in refractometer?

A

The compensator used in the refractometer is a compound prism that restores white light from the dispersed colors.

→ It is made of two Amici prisms (Fig. 5) with adjustable relative positions, thus the proper direction and level of compensation can be set.

17
Q

What is AMICI PRISM?

A

a compound prism used in the refractometer that restores white light from the light that was dispersed into colors (causing a smear of the rim of Snell’s window).

18
Q

What is SNELL’S WINDOW?

A

If light rays of all possible angles of incidence are present in the optically less dense medium

→ then the refracted rays form a cone of light in the denser medium with a half-aperture angle equal to the critical angle.

→ In the focal plane this cone appears as a bright disk.

19
Q

Because the critical angle depends on the (1)___, in the case of white light a smeared shadowline containing the colors of the visible spectrum (2)__

A
  1. illumination wavelength
  2. emerges
20
Q

Because the critical angle depends on the illumination wavelength, in the case of white light a smeared shadowline containing the colors of the visible spectrum emerges (Fig. 12 top).

→ These colors can be eliminated by properly adjusting the___, such that a sharp edge of the bright area is obtained.

→ Thus, we may measure the critical angle with high precision.

21
Q

What is RELATIONSHIP BETWEEN CONCENTRATION AND THE INDEX OF REFRACTION?

A

Index of refraction of some solutions depends on the solvent concentration.

This relationship is linear in the case of dilute solutions

n1 = 􏰄n0 􏰒+ k􏰈 x c

  • n1 and n0 are the indices of refraction of the solution and the solvent, respectively
  • k is a constant
  • c is the concentration.

(The above relationship allows for the determination of blood plasma protein concentration by measuring the index of refraction.)

22
Q

An underwater photoraph of a real Snell’s window. The circle-like horizon can be well observed as a dark-bright shadowline. (for reading only)

A

Divers under water observe the bright Snell’s window when looking towards the surface (Fig.7). Diffuse light from the blue sky provides incident rays of all directions, but under water it is bright only within the light cone which has a half-aperture angle equal to the critical angle. One can see this with diver’s glasses or make a photograph with a wide-angle optics.

23
Q

What is shadowline?

A

The position of the rim of the bright Snell’s window

24
Q

What is ABBE REFRACTOMETER?

A

Optical instrument for the measurement of the index of refraction of a small amount (few drops) of transparent liquid.

→ It is used for the indirect concentration measurement of a solution component.

25
main components of Abbe refractometer
* illuminating prism * measuring prism, turnable Amici prism with a knob (color compensator) * the "telescope" for the observation of the shadowline.
26
Fill the gap
27
*In the Abbe refractometer we measure the\_\_*
*index of refraction of the solution in the slit between the two prisms.*
28
The illuminating white light is projected onto the (1)\_\_\_by a mirror and, because of this prism’s rough surface it becomes (2)\_\_\_ prior to entering the sample (Fig. 11). → This (3)\_\_\_ light reaches all points of the (4)\_\_\_ at incident angles between 0-90 o. Thus (5)\_\_\_ rays are always present.
1. illuminating prism 2. diffuse 3. diffuse 4. measuring prism 5. grazing light
29
Concentration determined by refractometry
1) Check the calibration of the built in index of refraction scale by measuring distilled water. The correct index of refraction of the distilled water is 1.333. 2) Measure the index of refraction of the centrifuged blood plasma and read the protein concentration from the calibration curve in Fig. 14. 3) Measure the indices of refraction of distilled water and the series of known concentrations (mol/l) of glycerol-water solutions, and plot the index of refraction *versus* glycerol concentration calibration curve. → Determine the concentrations of the unknown glycerol solutions by using the calibration curve.
30
What is total internal reflection?
The phenomenon which occurs when the light rays travel from a more optically denser medium to a less dense medium → Light rays arriving at the interface from one medium to another are not refracted into the second medium, but completely reflected back into the first medium.