What is light absorption?
absorption of light photons in matter. On the atomic scale, the energy of the absorbed photon is used for the excitation of the outer-shell electrons.
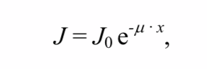
Light that passes through a layer of matter is attenuated as a result of ___ (2 things)
light absorption and scattering.
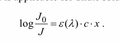
What is absorbance (A)?
base-10 logarithm of the ratio of the perpendicularly incident (J0) and perpendicularly transmitted (J ) light intensity ( log (J0 / J ) ). The three different names are used for the same physical quantity.
What is Transmittance (T)?
transmission coefficient is defined as the following ratio of intensities
Other names for absorbance
EXTINCTION (E), OPTICAL DENSITY (OD)
The absorption spectrum of atoms and molecules is closely related to their __
electronic structure.
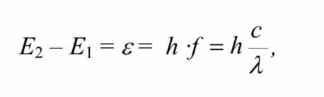
If we provide a ground-state electron with energy corresponding exactly to the difference between the excited- (E2) and ground-state (E1) energies, then the electron jumps to the ___
excited state
s. If we provide a ground-state electron with energy corresponding exactly to the difference between the excited- (E2) and ground-state (E1) energies, then the electron jumps to the excited state.
→ How much photons absorbed in the system?
Thus, if a system of molecules is illuminated with light of matching photon energy (wavelength, color), the system absorbs part of these photon
From the excited state the system will return to the ground state, loosing its excess energy.
→ In most cases this process involves ___
heat exchange with the environment in many small steps (relaxation).
What is absorption coefficient?
the attenuation coefficient characteristic for the type of the material and for the wavelength of light,
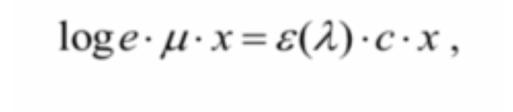
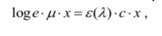
What is MOLAR EXTINCTION COEFFICIENT?
a quantity characteristic of the absorption by the material.
What is BEER-LAMBERT LAW?
an expression, valid for dilute solutions, stating that the absorbance of the solution is proportional to the concentration (c) and to the thickness of the material → the proportionality factor is the molar extinction coefficient

What is absorption spectrum?
absorbance is plotted as a function of wavelength.
On the atomic scale, the energy of the absorbed photon is used for _____
excitation of the outer-shell electrons.
Which coefficient characterizes the type of material?
the attenuation coefficient
Which coefficient characterizes the wavelength of light?
absorption coefficient
In case of dilute solutions, if the solvent does not absorb in the applied wavelength range (i.e., it is transparent, just like water or alcohol in the visible range), then the absorption coeffi- cient is _____ to the concentration of the solute
Proportional
What does molar extinction coefficient (extinc- tion coefficient for short) depend on?
(It does not depend on the concentration and thick- ness of the material).
the Beer-Lambert Law is only valid for ____
Dilute solutions
What are complementary colors?
a pair of colors that gives white light as a result of additive color mixing.
The location of the absorption maxima (there may be more than one) is related to the ____
electron excitation ener- gies characteristic for the molecular structure
Height
Proportionally
Thickness
Concentration determination
The equipment used to measure absorption spectra is called ____
absorption spectrometer
In the simple, manual spectrophotometer, the absorbance of the (1)___ and that of the (2)___ are measured separately at every wavelength, which is set manually.