9. Gamma absorption Flashcards

(19 cards)

1
Q

What is GAMMA RADIATION?

A

electromagnetic radiation of high photon energy (E > 100 keV).

How well did you know this?
1
Not at all
2
3
4
5
Perfectly
2
Q

What is photon energy of gamma radiation?

A

Its photon energy is E􏰎 = h·f . Its intensity (J ) is proportional to the number of photons in case of monochromatic radiation (photons of equal energy)

E is energy

h is the Planck constant

f is frequency

How well did you know this?
1
Not at all
2
3
4
5
Perfectly
3
Q

4 interactions play a role in the attenuation of the 􏰎gamma -radiation

A
  1. Photoeffect
  2. Compton scattering
  3. Pair production
  4. Elastic scattering
How well did you know this?
1
Not at all
2
3
4
5
Perfectly
4
Q

How can photoeffect play a role in the attenuation of the 􏰎gamma -radiation?

A

one type of interaction between gamma􏰎-radiation and matter.

→ The incident 􏰎gamma-photon is converted into the work function (A) and the kinetic energy of the removed photoelectron.

How well did you know this?
1
Not at all
2
3
4
5
Perfectly
5
Q

How can Compton scattering play a role in the attenuation of the 􏰎gamma -radiation?

A

The energy of the incident gamma􏰎-photon is converted into the work function (A), to the kinetic energy of the removed Compton electron and that of the Compton photon of lowered energy.

How well did you know this?
1
Not at all
2
3
4
5
Perfectly
6
Q

How can pair production play a role in the attenuation of the 􏰎gamma -radiation?

A

occurs only if the energy of the incident 􏰎gamma-photon is greater than 1.022 MeV.

→ The photon disappears and an electron and positron pair is created from its energy.

→ Subsequently, the positron collides with an electron, their mass annihilates and two gamma􏰎-photons of 511 keV are created.

How well did you know this?
1
Not at all
2
3
4
5
Perfectly
7
Q

How can elastic scattering play a role in the attenuation of the 􏰎gamma -radiation?

A

the gamma􏰎-photon changes only its direction while its energy remains unchanged.

How well did you know this?
1
Not at all
2
3
4
5
Perfectly
8
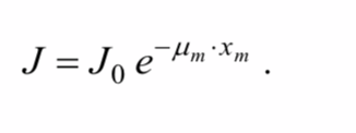
Q

How can attenuation law relate to gamma radiation?

A

As gamma􏰎-radiation passes through matter its intensity decreases exponentially

  • J0 is the intensity of the perpendicularly incident radiation
  • x is the thickness of the absorbent
  • J is the intensity of the parallel beam that passed through the absorbent
  • µ is the linear attenuation coefficient (see title Figure).
How well did you know this?
1
Not at all
2
3
4
5
Perfectly
9
Q

What is LINEAR ATTENUATION COEFFICIENT (µ)?

A

a coefficient that depends on the type and density of the material, and on radiation energy.

→ The unit of 􏰋µ is 1/cm (1/m).

How well did you know this?
1
Not at all
2
3
4
5
Perfectly
10
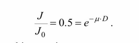
Q

What is HALF-VALUE THICKNESS (D)?

A

the distance at which the incident intensity J0 decreases to its one half.

How well did you know this?
1
Not at all
2
3
4
5
Perfectly
11
Q

What is TENTH-VALUE THICKNESS (x1/10)?

A

the distance at which the incident intensity J0 decreases to its one tenth.

How well did you know this?
1
Not at all
2
3
4
5
Perfectly
12
Q

What is MASS ATTENUATION COEFFICIENT ( µ􏰋m )?

A

a coefficient that depends on the type of the material and on the radiation energy, but not on the density of the material.

Unit of 􏰋µ􏰋m is cm2/g (m2/kg).

How well did you know this?
1
Not at all
2
3
4
5
Perfectly
13
Q

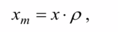
What is surface density xm ?

A
  • Mass that is behind the 1 cm2 surface area of the absorbent.
  • the product of x and 􏰇p
  • Unit of xm is g/cm2 (kg/m2).
How well did you know this?
1
Not at all
2
3
4
5
Perfectly
14
Q

What does this equation mean?

A

when considering the mass behind the absorbing surface, at the given photon energy the values of the mass

→ attenuation coefficients of materials of different density became very close.

How well did you know this?
1
Not at all
2
3
4
5
Perfectly
15
Q

What is HALF-VALUE MASS ( Dm)?

A

the product of the half-value thickness and the density of the absorbent material: Dm = D ·􏰇 p

Unit of Dm is g/cm2 (kg/m2).

How well did you know this?
1
Not at all
2
3
4
5
Perfectly
16
Q

For different types of material, the mass attenuation coefficient (􏰋 m) versus photon energy of the incident gamma􏰎-radiation (E􏰎) curves are (1)__, and they are characteristic of the (2)__

A
  1. different
  2. particular material.
17
Q

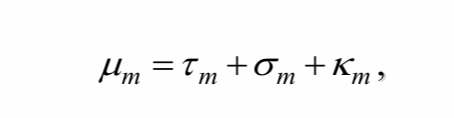
the coefficient 􏰋 µm characterizing the radiation absorption ability of the given material can be decomposed into three components.

→ What are they?

A

mass attenuation coefficients related to the photoelectric effect, Compton scattering and pair production

(Elastic scattering is a rather rare process; in case of lead, for example, it is negligible.)

18
Q

What does the degree of attenuation depend on?

A

The degree of attenuation depends on the photon energy of the radiation, and on the thickness, type and density of the absorbent material.

19
Q

2 sources of gamma radiation

A

decay of radioactive isotopes, cosmic radiation.