Motion in the atmospheric boundary layer is generally
turbulent.
Most turbulent flows of interest, including those in the ABL have a number of common characteristics:
Non-turbulent flows are called
laminar. In laminar flow, a perfect frictionless fluid would experience no tangential force at a boundary.
Non-turbulent flows are called laminar. In laminar flow, a perfect frictionless fluid would experience no tangential force at a boundary.
ο In contrast, a real fluid experiences
such tangential forces.
Such tangential forces are also referred to as
shearing stresses that are related to the fluid viscosity,
the frictional shearing stress unit
(frictional force per unit area) in Nm-2
the dynamic viscosity unit
kgm-1s-1
If we measure the flow with a fast-responding anemometer, we will find that the velocity
fluctuates with time in a seemingly random manner. Air temperature, humidity, and other scalars also exhibit irregular temporal fluctuations.
Details of the flow are
impossible to predict
Details of the flow are impossible to predict. Hence
we quantify the mean state of the atmosphere by performing averaging operation on the atmospheric properties
This averaging operation is called
block averaging
In field observations or modeling studies, time series data are obtained at
discrete sampling intervals, tf
In field observations or modeling studies, time series data are obtained at
discrete sampling intervals, tf . This interval is
constant in field measurements but can be variable in modeling studies.
A typical averaging length is
30 min
a typical sampling interval is
0.1 s
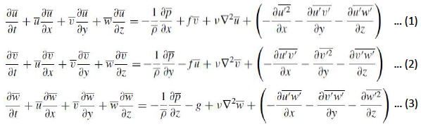
the molecular friction force are now expressed with
mean flow quantities
The extra terms in the parentheses consist of

spatial derivatives of Reynolds variances (e.g., -u’2) and covariances (e.g., -π’’π£β²). Like molecular friction, these terms act as retarding forces on the mean motion. Thus, a consequence of velocity fluctuations is that they slow down the air motion.
Resulting from averaging of the nonlinear terms, such as π’ ππ€βππ§ , in the original equations, the Reynolds velocity covariances represent
turbulent momentum fluxes or transport of momentum by turbulent eddies.
Once again, the Reynolds averaging operation has produced additional terms.
ο These terms consist of
spatial derivatives of velocity-scalar covariances and are given in the parentheses on the right side of the equations.
These terms consist of spatial derivatives of velocity-scalar covariances and are given in the parentheses on the right side of the equations.
ο In analogy to molecular diffusion, these covariances represent
turbulent transport of water vapor and potential temperature
In other words, the result of velocity and scalar fluctuations is
a diffusive transport of energy and materials in the atmosphere.
Turbulent transport is one factor contributing to
the local time rate of change in the mean scalar quantities.
Other contributors of the temporal change are
horizontal and vertical advection and molecular diffusion (1st term on the right).
Surface boundary conditions strongly affect
the vertical distributions of velocity, temperature, and gaseous abundance in the atmospheric boundary layer.