Turbulent statistics differ case by case because of
employing typical characteristic length, time and velocity scale enable us to
derive governing equations in non-dimentional form
scaling variables
length scales
L equation
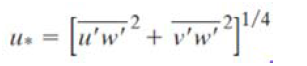
u3*: friction velocity
k: von kum. constant = 0.4
Tv: virtual temperature
w’g’: vertical turbulent heat flux at the surface

velocity scales:
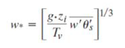
w* equation
Zi : PBL height
Tv: virtual temperature (depend on temperaure and moisture)
w’ O-‘: vertical heat flux

u* equation
u’w’ + v’w’: kinamatic momentum fluxes (vertical fluxes of u and v momentums (covarience))

time scale for CBL
zi: PBL height
w*: PBL velocity

time scale for NEUTRAL SL
z: SL height
u*: friction velocity (velocity of surface layer)

summerize the scales
the scaling laws describe
the functional relationship between scaling variables
example: wind profile law for BL
wind profile law
(AND EQUATION)
wind speed varies near logarithmically with height in the SL

Wind profile law when plotted on semilog paper
IT increases non linearly
rate of change is different in different conditions (of stability)
Air stability
Tendancy (veritcal mixing tendancy) in responce to a small disturbance
buoyance and turbulent production
stability criteria based on potential temperature
to quantify the stability effects of the atmosphere two scaling variables:
according to richardson number turbulent production depends on
flux richardson number (Rf):
express the comined effect
flux richardson number equation:
term ignored because its small magnitude in the surface layer compared to u’w’….

stability criteria based on Rf
how does buoyance and shear production change in convective boundary layer?
Monin Obukhav stability parameter
donated by ع
is based on the fact that the vertical variation of
in SL depend on the surface momentum fluxes, measured by
A combination of these three gives (ع)