If we have a profit function n(q) = mq+ c ,what is the gradient ?
the gradient is the change in profit/ change in production levels.

When looking at a parabolae, how do we find gradient of the curve at a specific point?
We find the gradient of the tangent at that point
What is a chord?
It is a line segement joining two points on a curve
What can we use chords to do?
We can use chords to estimate the gradient
Calculate the gradient

meaning the gradient at any point of the curve is 2x ( two times the value of x
x =2
m =4

-So the gradient of the curve y = f(x) at the point (x,f(x)) is equal to what?
The gradient of the tangent to that point of the curve
What is the differentation notation
this tells us to differentiate f(x) with respect to x

if we have the curve y = x^2, what is the gradient at point (2,0)

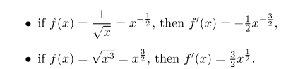
Whats the derative of square root x?



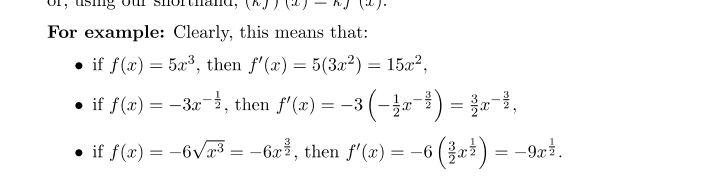
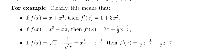
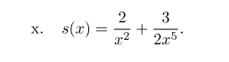
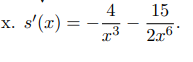
What is the constant mulitiple rule of differentation?



What is the sum rule of differentation?





Not everything we can differentiate using these rules, such as what?
Division and multplication( this uses different rules)

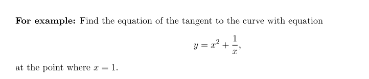
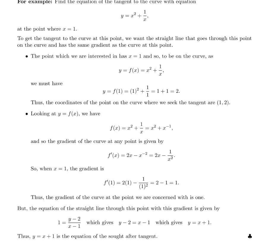
We are now going to look at finding the equation of the tangent to the curve?
The curve y = x^2 is the equation of the parabolae, the line of the point is (2,4) and we know the gradient is 4, calculate the equation of tangent?



What is the gradient of the tangent for the parabolae y = x^2 + x -3 (3,9)
and y = x^2+x-3 at point (2,3)
1) f’(x) = 2x + 1 = 2(3)+1 = 7
2) f’(x) = 2(2)+1 = 5




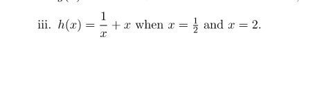
find their gradients and hence find the equation of the tangent lines of these points.


Find the equation of the line and their gradients

the equation is acc y = 3/4x+1
