What is the derative of f(x) = In(x)
1/x
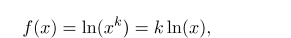
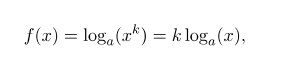
What does the power law tells us for logs?




What yet dont we know how to differentatie?
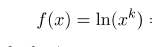
In(x+k)
How can we use the change of base formula to find the derative of this function?


So what is the derative of this function again?



What is the derative of e^x? ( providing the base is an expoentital constant?
e^x
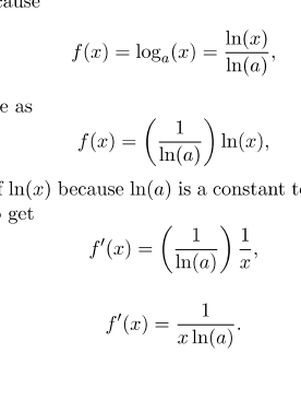
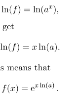
If we have a function where the base is not an expotential constant, when what do we do?

1) we take logs on both side ( when a doesnt equal 1)
2) then use power rule
3) we use that the our rules of logs ( logs

What functions can we not differentantiate without combination rules?

What are the 3 ways of combining functions other than what we saw in week 5?

What is the product rule?
f’g+fg’









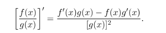
What is the quotient rule?
The exact same line as product rule but divide by g(x) squared







When do we use the chain rule?
when differentiating a ‘function of a function’, like f(g(x)) in general.
What is the formula for the chain rule?


an alternative method is use power rule so
move the 2 down to get 2(x+1) times derative in the bracket which is 1


alternatively you could do:
use power rule to get 3(2x+1)^2 X the derative in the bracket 2 to get 6(2x+1)^2
