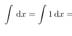
Explain this function which explains the basics of our integration?


We are now going to integrate a constant, what is the rule for integrating constants?



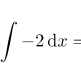
Integrate this function


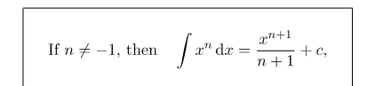
What is the integration rule when x^n when n doesnt equal -1?



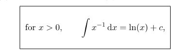
What is the integral of x^n when n = -1? when x>0

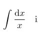
How do we rewrite this?


With integration what are the 2 most important components?
We have to include a dx and secondly we have include a constant multiple, always + c unless we have a a defined integral, which we will come to in notes 17.
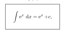
How do we integrate this function e^x?

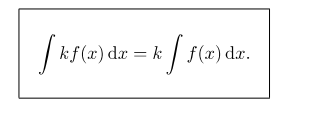
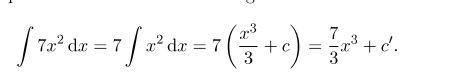
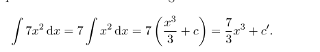
What is the constant mutiple rule for integration?



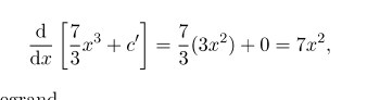
Verify this by using differentation




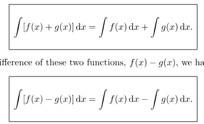
What the addition and subtraction rules for integration?


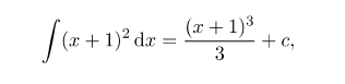
Integrate this function and verify by differentating?


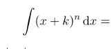
We are now going look at functions of powers of simple functions of x? what 2 cases will we look at?

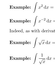
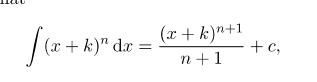
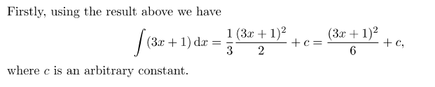
What is the integral for this function


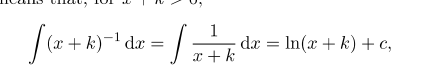
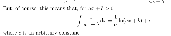
What is the integral of the function (x+k)^n when n = -1?



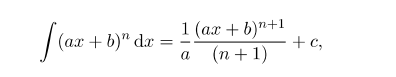
What is the integral of (ax+b)^n?

Whats the integral of (ax+b) when n = -1 and a doesnt equal 0?




