What is the equation for entropy?
Remember, entropy calculations are based on the data subsets created when analysing different variables with respect to the target variable.

Formula for information gain

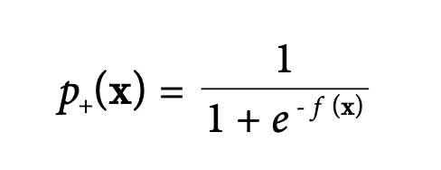
Logistic Function

Softmax Function

How do you calculate the accuracy from the confusion matrix?

Acc = (TP + TN)/n
Where n is the total of the confusion matrix.
How do you calculate the sensitivity from the confusion matrix?

Sensitivity = (TP)/(TP+FN)
How do you calculate the specificity from the confusion matrix?

Specificity = TN/(TN+FP)
Essentially the right column.
Expected benefit of targeting equation
Where vR is the value we from a response and vNR is the value we get from no response. Since everyone either responds or does not, our estimate of the probability of not responding is just (1-pR(x))
where vR is the value we get from a response and vNR is the value we get from no response. Since everyone either responds or does not, our estimate of the probability of not re‐ sponding is just (1 - pR(x)).

Equation for expected profit
b stands for benefit and c stands for cost.

Write down the Bayes’ optimal classifier formula
