Structures Flashcards

(108 cards)

1
Q

Lactate

A
How well did you know this?
1
Not at all
2
3
4
5
Perfectly
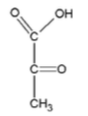
2
Q

Propionate (propionic acid)

A
How well did you know this?
1
Not at all
2
3
4
5
Perfectly
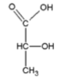
3
Q

Cysteine

A
How well did you know this?
1
Not at all
2
3
4
5
Perfectly
4
Q

Cephalin

A
How well did you know this?
1
Not at all
2
3
4
5
Perfectly
5
Q

Stearic Acid

A
How well did you know this?
1
Not at all
2
3
4
5
Perfectly
6
Q

Uracil

A
How well did you know this?
1
Not at all
2
3
4
5
Perfectly
7
Q

Glycine

A
How well did you know this?
1
Not at all
2
3
4
5
Perfectly
8
Q

Acetyl-CoA

A
How well did you know this?
1
Not at all
2
3
4
5
Perfectly
9
Q

(5-)phosphoribosyl-(1-)pyrophosphate (PRPP)

A
How well did you know this?
1
Not at all
2
3
4
5
Perfectly
10
Q

Aspartic acid

A
How well did you know this?
1
Not at all
2
3
4
5
Perfectly
11
Q

Cytidine-monophosphate (CMP)

A
How well did you know this?
1
Not at all
2
3
4
5
Perfectly
12
Q

Glucose-1-phosphate

A
How well did you know this?
1
Not at all
2
3
4
5
Perfectly
13
Q

Threonine

A
How well did you know this?
1
Not at all
2
3
4
5
Perfectly
14
Q

Carbomyl-phosphate

A
How well did you know this?
1
Not at all
2
3
4
5
Perfectly
15
Q

Methionine

A
How well did you know this?
1
Not at all
2
3
4
5
Perfectly
16
Q

Allantoine

A
How well did you know this?
1
Not at all
2
3
4
5
Perfectly
17
Q

Cholamine

(ethanolamine)

A
How well did you know this?
1
Not at all
2
3
4
5
Perfectly
18
Q

Choline

(N-trimethyl-ethanolamine)

A
How well did you know this?
1
Not at all
2
3
4
5
Perfectly
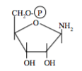
19
Q

Phosphoribosyl-(1-)amine

A
How well did you know this?
1
Not at all
2
3
4
5
Perfectly
20
Q

Pyruvate

A
How well did you know this?
1
Not at all
2
3
4
5
Perfectly
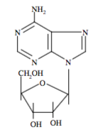
21
Q

Adenosine

A
How well did you know this?
1
Not at all
2
3
4
5
Perfectly
22
Q

Cytidine

A
How well did you know this?
1
Not at all
2
3
4
5
Perfectly
23
Q

Leucine

A
How well did you know this?
1
Not at all
2
3
4
5
Perfectly
24
Q

Acetyl-CoA

A
How well did you know this?
1
Not at all
2
3
4
5
Perfectly
25
alpha-ketoglutarate
26
Valine
27
Deoxy-thymidine
28
Tyrosine
29
Guanosine-monophosphate (GMP)
30
Fumarate
31
Uridine-monophosphate (UMP)
32
beta-hydroxybutyrate
33
Fructose
34
Oxaloacetate
35
Inosine-monophosphate (IMP, inosinic acid)
36
Cholic Acid
37
Cholesterol
38
Orotate (orotic acid)
39
Arginino-succinate
40
Maltose
41
Guanine
42
Glutamine
43
Fructose-1,6-biphosphate
44
Arachidonic Acid
45
6-phosphogluconate
46
Chenodeoxycholic acid
47
Triacyl-glycerol
48
49
Succinate
50
Glucose-6-phosphate
51
Glutamic Acid
52
Xanthine
53
Xanthosine-monophsophate (XMP)
54
Uric acid
55
Phosphatidic acid
56
Thymine
57
Urea
58
Butyrate (butyric acid)
59
Cysteine
60
Malate
61
Linoleic acid
62
Glyceroaldehyde-3-phosphate
63
Succrose
64
Glycerol
65
Dihydroxyacetone-phosphate
66
Oxaloacetate
67
2-phosphoglycerate
68
Succinyl-CoA
69
Adenine
70
Lecithin
71
Hypoxanthine
72
Acetone
73
Guanosine
74
Ornithine
75
Haem
76
1,3-bisphosphoglycerate
77
Asparagine
78
Phosphoenolpyruvate (PEP)
79
Isocitrate
80
(Alpha-D) Galactose
81
Fructose-6-phosphate
82
Acetate (acetic acid)
83
Arginine
84
2-deoxyribose
85
3-phosphpoglycerate
86
Tryptophan
87
Uridine
88
Cytosine
89
Adenosine-monophosphate (AMP)
90
Lysine
91
Creatine
92
Deoxy-thymidine-monophsophate (dTMP)
93
Acetoacetate | (Acetoacetic acid)
94
Litocholic acid
95
Phenylalanine
96
Oleic Acid
97
Hystidine
98
Linolenic Acid
99
Isoleucine
100
Ribose
101
Proline
102
Serine
103
Palmitic acid
104
Citrulline
105
Citrate
106
Deoxycholic acid
107
Alanine
108
(alpha-D) Glucose