1.2 Constructing Models and Solving Problems Flashcards

(23 cards)

1
Q

Uniform Motion Formula

A

Distance = Rate X Time

How well did you know this?
1
Not at all
2
3
4
5
Perfectly
2
Q

Perimeter of a Rectangle Formula

A

Perimeter = P
l = length
w = width

How well did you know this?
1
Not at all
2
3
4
5
Perfectly
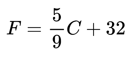
3
Q

Fahrenheit to Celsius Temperature Formula

A

C = Celsius
F = Fahrenheit

How well did you know this?
1
Not at all
2
3
4
5
Perfectly
4
Q

Celsius to Fahrenheit Temperature Formula

A

C = Celsius
F = Fahrenheit

How well did you know this?
1
Not at all
2
3
4
5
Perfectly
5
Q

Total Resistance Formula in Ohms

A
How well did you know this?
1
Not at all
2
3
4
5
Perfectly
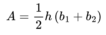
6
Q

Area of a Trapezoid Formula

A
How well did you know this?
1
Not at all
2
3
4
5
Perfectly
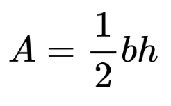
7
Q

Area of a Rectangle Formula

A
How well did you know this?
1
Not at all
2
3
4
5
Perfectly
8
Q

Area of a Parallelogram Formula

A
How well did you know this?
1
Not at all
2
3
4
5
Perfectly
9
Q

Area of a Circle

A
How well did you know this?
1
Not at all
2
3
4
5
Perfectly
10
Q

Area of a Triangle

A
How well did you know this?
1
Not at all
2
3
4
5
Perfectly
11
Q

Surface Area of a Cube

A
How well did you know this?
1
Not at all
2
3
4
5
Perfectly
12
Q

Volume of a Cube

A
How well did you know this?
1
Not at all
2
3
4
5
Perfectly
13
Q

Volume of a Rectangular Prism

A
How well did you know this?
1
Not at all
2
3
4
5
Perfectly
14
Q

Volume of a Cylinder

A
How well did you know this?
1
Not at all
2
3
4
5
Perfectly
15
Q

Volume of a Sphere

A
How well did you know this?
1
Not at all
2
3
4
5
Perfectly
16
Q

Circumference of a Circle

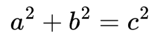
17
Q

Pythagorean Theorem

18
Q

an equation involving two or more variables

19
Q

using formulas and functions to represent real-life situations

20
Q

involves mixing liquids, chemical solutions, candy, people, etc.

A

mixture problems

21
Q

involves motion at a constant rate

A

uniform motion

22
Q

problems that involve people or machines doing something to accomplish a task

23
Q

What are the problem solving strategies for word problems?

A

1) Read the problem. Underline/circle key items.
2) Draw a diagram if possible.
3) Choose a variable and describe what it represents with units.
4) Write an equation using the variable and other important information. (Formula?)
5) Solve the equation.
6) Check your answer.
7) Write a sentence restating the problem with its solution and units.