1.4 Linear Equations in Two Variables Flashcards

(31 cards)

1
Q

measures steepness of a line

A

slope

How well did you know this?
1
Not at all
2
3
4
5
Perfectly
2
Q

the ratio of the rise to the run

A

slope

How well did you know this?
1
Not at all
2
3
4
5
Perfectly
3
Q

the change in the y-coordinates

A

rise

How well did you know this?
1
Not at all
2
3
4
5
Perfectly
4
Q

the change in the x-coordinates

A

run

How well did you know this?
1
Not at all
2
3
4
5
Perfectly
5
Q

symbol for the change in the x values (difference)

A
How well did you know this?
1
Not at all
2
3
4
5
Perfectly
6
Q

symbol for the change in the y values (difference)

A
How well did you know this?
1
Not at all
2
3
4
5
Perfectly
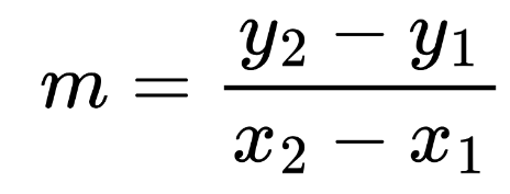
7
Q

slope formula

A
How well did you know this?
1
Not at all
2
3
4
5
Perfectly
8
Q

Other formulas for slope

A
How well did you know this?
1
Not at all
2
3
4
5
Perfectly
9
Q

Point-slope formula of a line

A
How well did you know this?
1
Not at all
2
3
4
5
Perfectly
10
Q

Slope-intercept formula of a line

A
How well did you know this?
1
Not at all
2
3
4
5
Perfectly
11
Q

Graph a line with positive slope

A
How well did you know this?
1
Not at all
2
3
4
5
Perfectly
12
Q

Graph a line with negative slope

A
How well did you know this?
1
Not at all
2
3
4
5
Perfectly
13
Q

Graph a line with zero slope

A
How well did you know this?
1
Not at all
2
3
4
5
Perfectly
14
Q

Graph a line with undefined slope

A
How well did you know this?
1
Not at all
2
3
4
5
Perfectly
15
Q

Standard form of a line

A
How well did you know this?
1
Not at all
2
3
4
5
Perfectly
16
Q

What do you know about the slopes of two nonvertical lines in a coordinate plane that are parallel

A

the slopes are equal

17
Q

What do you know about the slopes of two perpendicular lines

A

the slopes are opposite reciprocals and

18
Q

When asked to write an equation of a line, which form should you use?

19
Q

What is the equation of a vertical line?

20
Q

What do you need to remember about standard form of a line?

A

Ax is first
By is second
C is on the opposite side of Ax and By
No fractions
No decimals
A should be positive

21
Q

What is the equation of a horizontal line?

22
Q

What is the slope of a vertical line?

23
Q

What is the slope of a horizontal line?

24
Q

When the slopes get larger in size, what do you know about the line?

A

the line becomes steeper

25
a line that rise from left to right
positive sloped lines
26
a line that falls from left to right
negative sloped lines
27
How do you write an equation of a parallel line?
Find the slope of the first line. Use point-slope to plug in the slope and the point of the new line.
28
How do you write an equation of a perpendicular line?
Find the slope of the first line. Take the opposite reciprocal of the slope found. Use point-slope to plug in the slope and the point of the new line.
29
In the equation y = mx + b, what do m and b stand for?
m = slope b = y-intercept
30
How do you write a y-intercept?
(0, y)
31
How do you write an x-intercept?
(x, 0)