P.7 Complex Numbers SYMKC Flashcards

(24 cards)

1
Q
A

imaginary number

How well did you know this?
1
Not at all
2
3
4
5
Perfectly
2
Q

the set of all numbers of the form

A

complex number (C)

How well did you know this?
1
Not at all
2
3
4
5
Perfectly
3
Q

What is the standard form of a complex number?

A
How well did you know this?
1
Not at all
2
3
4
5
Perfectly
4
Q

1, 2, 3, 4, 5, …..

A

Natural numbers (counting numbers) abbreviated with the letter N

How well did you know this?
1
Not at all
2
3
4
5
Perfectly
5
Q

0, 1, 2, 3, 4, 5, …..

A

Whole numbers abbreviated with the letter W

How well did you know this?
1
Not at all
2
3
4
5
Perfectly
6
Q

Fractions, decimals that repeat, roots that simplify completely, decimals that terminate (end), and any natural, whole, or integer number

A

Rational abbreviated with the letter Q

How well did you know this?
1
Not at all
2
3
4
5
Perfectly
7
Q

…-3, -2, -1, 0, 1, 2, 3, …

A

Integers abbreviated with the letter Z

How well did you know this?
1
Not at all
2
3
4
5
Perfectly
8
Q

Roots that do not simplify, decimals that never end and do not repeat, and special numbers like “pi” and “e”

A

Irrational numbers abbreviated with the letter (I) or (P)

How well did you know this?
1
Not at all
2
3
4
5
Perfectly
9
Q

Numbers that are Natural, whole, integers, rational, and irrational

A

Real numbers abbreviated with the letter (R)

How well did you know this?
1
Not at all
2
3
4
5
Perfectly
10
Q

Numbers that have the imaginary unit

A

imaginary numbers

How well did you know this?
1
Not at all
2
3
4
5
Perfectly
11
Q

numbers that have the imaginary unit but with out the real part

A

pure imaginary number

How well did you know this?
1
Not at all
2
3
4
5
Perfectly
12
Q
A
How well did you know this?
1
Not at all
2
3
4
5
Perfectly
13
Q
A

-1

How well did you know this?
1
Not at all
2
3
4
5
Perfectly
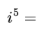
14
Q
A
How well did you know this?
1
Not at all
2
3
4
5
Perfectly
15
Q
A

1

How well did you know this?
1
Not at all
2
3
4
5
Perfectly
20
Q

Conjugate of

21
Q

Conjugate of

23
Q

For a fraction to be considered completely simplified, we must remember to

A

Remove all roots out of the denominator.
Remove all imaginary numbers out of the denominator.
All common factors from the numerator and denominator have been cancelled.

24
Q

If you perform operations with roots of negative numbers, what must you remember to do first?

A

Take the negative out of the root and make it “i” (if an even root), then do the addition, subtraction, multiplication or division. Never to arithmetic operations before simplifying the “i”. It leads to contradictory results.