1.6 Miscellaneous Equations Flashcards

(12 cards)

1
Q

When solving an equation by factoring, what must you remember to do first?

A

Set one side of the equation equal to 0.

How well did you know this?
1
Not at all
2
3
4
5
Perfectly
2
Q

Factor a sum of squares

A

Cannot be factored with real numbers.

How well did you know this?
1
Not at all
2
3
4
5
Perfectly
3
Q

Factor a difference of squares

A
How well did you know this?
1
Not at all
2
3
4
5
Perfectly
4
Q

What is the first step of factoring after setting one side equal to 0?

A

Try to factor by using a GCF.

How well did you know this?
1
Not at all
2
3
4
5
Perfectly
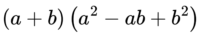
5
Q

Factor a difference of cubes

A

Remember, the trinomial for this formula cannot be factored further. When solving the equation for the trinomial, you must use the quadratic formula or completing the square.

How well did you know this?
1
Not at all
2
3
4
5
Perfectly
6
Q

Factor a sum of cubes

A
How well did you know this?
1
Not at all
2
3
4
5
Perfectly
7
Q

What must you remember to do when presented with an even root with a variable in the radicand and asked to solve for the variable?

A

Isolate the root. Solve normally. But CHECK all answers.

How well did you know this?
1
Not at all
2
3
4
5
Perfectly
8
Q

What must you remember when you are presented with multiple roots in an equation and asked to solve for the variable?

A

Isolate one root at a time. Square both sides. Isolate the second root. Square both sides. Solve normally. Check your answers.

How well did you know this?
1
Not at all
2
3
4
5
Perfectly
9
Q

What are the strategies for solving equations involving square roots?

A

1) Isolate the radical if there is one. Separate the radicals on opposite sides of the equation if there is more than one.
2) square both sides and simplify.
3) Isolate or separate any remaining radicals and square again.
4) Check all solutions because squaring can produce extraneous solutions.

How well did you know this?
1
Not at all
2
3
4
5
Perfectly
10
Q

What are the stategies for solving equations involving rational exponents?

A

1) raise each side of the equation to the reciprocal power n/m. Recall that n/m means the nth power of the mth root.
2) Remember that there are two real even roots of any positive real number and there is exactly one real odd root of any real number.
3) If m is even and k>0, then x = (plus or minus) k^(n/m). If m is even and K < 0 there is no real solution.
4) If m is odd, then there is only one solution, x = k^n/m

How well did you know this?
1
Not at all
2
3
4
5
Perfectly
10
Q

If a problem is of quadratic type of higher degree, what strategy should be used to solve the problem for the variable?

A

substitution

How well did you know this?
1
Not at all
2
3
4
5
Perfectly
11
Q

When an absolute value is in an equation with a variable inside the absolute value and you are asked to solve for x, what must you remember?

A

1) Isolate the absolute value
2) Set up two equations without the absolute value. Changing signs where necessary.
3) Solve both equations.
4) CHECK the solutions.

How well did you know this?
1
Not at all
2
3
4
5
Perfectly