Chapter 3 Flashcards

(5 cards)

1
Q

What are the principles of quantum mechanics

A
How well did you know this?
1
Not at all
2
3
4
5
Perfectly
2
Q

What is the formula for expectation values

A
How well did you know this?
1
Not at all
2
3
4
5
Perfectly
3
Q

Give Schrodinger equation and solutions

A
How well did you know this?
1
Not at all
2
3
4
5
Perfectly
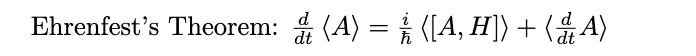
4
Q

Give Ehrenfest Theorem

A
How well did you know this?
1
Not at all
2
3
4
5
Perfectly
5
Q

Give the correspondence principle

A
How well did you know this?
1
Not at all
2
3
4
5
Perfectly