WKB Approximation Flashcards

(3 cards)

1
Q

Give WKB approx for E > V

A
How well did you know this?
1
Not at all
2
3
4
5
Perfectly
2
Q

Give WKB approx for V > E

A
How well did you know this?
1
Not at all
2
3
4
5
Perfectly
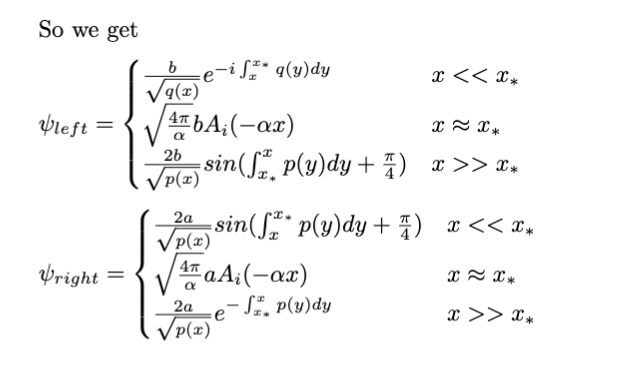
3
Q

Give WKD approx for sloped walls

A
How well did you know this?
1
Not at all
2
3
4
5
Perfectly