Chapter 6 Flashcards

(6 cards)

1
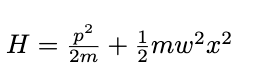
Q

Give the hamiltonian for the 1D SHO

A
How well did you know this?
1
Not at all
2
3
4
5
Perfectly
1
Q

Give the 1D creation and annilation operators

A
How well did you know this?
1
Not at all
2
3
4
5
Perfectly
2
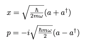
Q

Give x and p in terms of the ladder operators

A
How well did you know this?
1
Not at all
2
3
4
5
Perfectly
3
Q

Give the commutation relations for the ladder operators in 1d

A
How well did you know this?
1
Not at all
2
3
4
5
Perfectly
4
Q

Define coherent states

A
How well did you know this?
1
Not at all
2
3
4
5
Perfectly
5
Q
A
How well did you know this?
1
Not at all
2
3
4
5
Perfectly