Chapter 5 Flashcards

(5 cards)

1
Q

What is the wavefunction?

A
How well did you know this?
1
Not at all
2
3
4
5
Perfectly
2
Q

What is the inner product between two position eigenstates?

A
How well did you know this?
1
Not at all
2
3
4
5
Perfectly
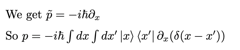
3
Q

Give the momentum operator

A
How well did you know this?
1
Not at all
2
3
4
5
Perfectly
4
Q

Give the inner product between x and p

A

C = 1/sqrt{2\pi\hbar}

How well did you know this?
1
Not at all
2
3
4
5
Perfectly
5
Q

Give the commuation relations when quantising systems

A
How well did you know this?
1
Not at all
2
3
4
5
Perfectly