3.d Equation Traps Flashcards

(16 cards)

1
Q

How would you solve a question where you are only given 1 equation with 2 unknowns?

A

Therefore, to divide by 8, (11-x) must be equal to a multiple of 8, in this case 8. Therefore x is 3.

How well did you know this?
1
Not at all
2
3
4
5
Perfectly
2
Q

How would you solve this question?

A

Find the value of “w” that allows you to divide by 5. This value is 3, as 54 - 8(3) = 30, and is divisible by 5.

(remember, it says it HAS to be an integer!)

How well did you know this?
1
Not at all
2
3
4
5
Perfectly
3
Q

How can you solve this?

A
How well did you know this?
1
Not at all
2
3
4
5
Perfectly
4
Q

How can you solve this?

A
How well did you know this?
1
Not at all
2
3
4
5
Perfectly
5
Q

You can divide by a variable only when you know that the variable is….

A

You can divide by a variable only when you know that the variable is NOT EQUAL TO ZERO

How well did you know this?
1
Not at all
2
3
4
5
Perfectly
6
Q

How can you solve this?

A

Watch out! You can only divide by x if you are told x is NOT 0. This is the best way to calculate it:

How well did you know this?
1
Not at all
2
3
4
5
Perfectly
7
Q

What are the 3 types of “hidden differences of squares”?

A
  1. Squared algebraic expressions
  2. Implied differences of squares
  3. Differences of squares with roots
How well did you know this?
1
Not at all
2
3
4
5
Perfectly
8
Q

A difference of squares in the form a2 - b2 can be factored to get (a+b)(a-b) even when variables a and b represent…

A

A difference of squares in the form a2 - b2 can be factored to get (a+b)(a-b) even when variables a and b represent ALGEBRAIC EXPRESSIONS

How well did you know this?
1
Not at all
2
3
4
5
Perfectly
9
Q

How would you answer this?

A

This is an example of a squared algebraic expression

How well did you know this?
1
Not at all
2
3
4
5
Perfectly
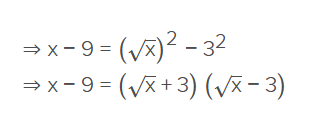
10
Q

What is the fastest way to calculate this?

A
How well did you know this?
1
Not at all
2
3
4
5
Perfectly
11
Q

Why is the difference of squares identity so useful?

A

Can help speed up any calculation in the required format

How well did you know this?
1
Not at all
2
3
4
5
Perfectly
12
Q

Can you use the difference of squares identity in this example?

A

Yes!

How well did you know this?
1
Not at all
2
3
4
5
Perfectly
13
Q

You can use the difference of squares identity when you are finding the product of two numbers that are…

A

You can use the difference of squares identity when you are finding the product of two numbers that are…

If one of the numbers is k greater than some value, and the other number is k smaller than the same value!

How well did you know this?
1
Not at all
2
3
4
5
Perfectly
14
Q
A
How well did you know this?
1
Not at all
2
3
4
5
Perfectly
15
Q

Why is this useful?

A

Because you can use it to create a difference of two squares situation

How well did you know this?
1
Not at all
2
3
4
5
Perfectly