5.h Extra Qs Flashcards

(10 cards)

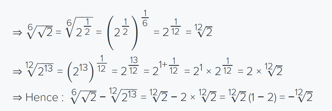
1
Q

Solve this:

A
How well did you know this?
1
Not at all
2
3
4
5
Perfectly
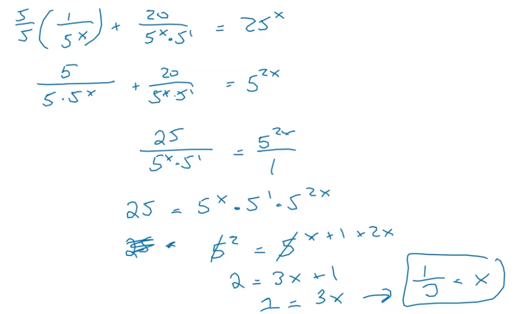
2
Q

Solve this:

A
How well did you know this?
1
Not at all
2
3
4
5
Perfectly
3
Q

How would you get the bases here to equal?

A
How well did you know this?
1
Not at all
2
3
4
5
Perfectly
4
Q

Simplify this:

A
How well did you know this?
1
Not at all
2
3
4
5
Perfectly
5
Q

What is important to spot here:

A

Spot that its a DIFFERENCE OF SQUARES

How well did you know this?
1
Not at all
2
3
4
5
Perfectly
6
Q

Solve this:

A
How well did you know this?
1
Not at all
2
3
4
5
Perfectly
7
Q

Why are you not able to do this?

A

Think of adding an enormous number with a tiny number, it cant ever be 1, so it doesnt make sense!

How well did you know this?
1
Not at all
2
3
4
5
Perfectly
8
Q

Solve this:

A
How well did you know this?
1
Not at all
2
3
4
5
Perfectly
9
Q

What do you have to do to solve this?

A

Get denominators to be the same

How well did you know this?
1
Not at all
2
3
4
5
Perfectly
10
Q

How would you solve this?

A
How well did you know this?
1
Not at all
2
3
4
5
Perfectly