5.e Advanced Exponents Flashcards

(20 cards)

1
Q

How would you express this in exponent form?

A
How well did you know this?
1
Not at all
2
3
4
5
Perfectly
2
Q

How would you express this in exponent form?

A
How well did you know this?
1
Not at all
2
3
4
5
Perfectly
3
Q

Express this formula in exponent form?

A
How well did you know this?
1
Not at all
2
3
4
5
Perfectly
4
Q

How else would you express this?

A
How well did you know this?
1
Not at all
2
3
4
5
Perfectly
5
Q

How would you solve this?

A
How well did you know this?
1
Not at all
2
3
4
5
Perfectly
6
Q

How would you solve this?

A
How well did you know this?
1
Not at all
2
3
4
5
Perfectly
7
Q

Try solve this:

A
How well did you know this?
1
Not at all
2
3
4
5
Perfectly
8
Q

How can you use the LCD of the indices to remove radicals?

A

By raising each expression to the LCD, we can remove the exponent attached to the expression.

How well did you know this?
1
Not at all
2
3
4
5
Perfectly
9
Q

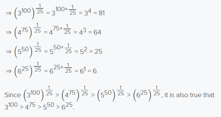
How would you compare size between radicals with different indices?

A

Multiply by LCM and work out entirely

How well did you know this?
1
Not at all
2
3
4
5
Perfectly
10
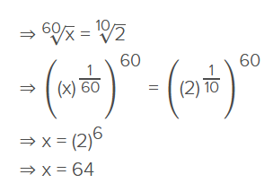
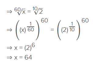
Q

How would you solve this?

A
How well did you know this?
1
Not at all
2
3
4
5
Perfectly
11
Q

How would you compare these?

A

Raise both values to the power of the reciprocal of the GCF of j and k.

How well did you know this?
1
Not at all
2
3
4
5
Perfectly
12
Q

Solve this:

A
How well did you know this?
1
Not at all
2
3
4
5
Perfectly
13
Q

Is this equal?

A

YES.

How well did you know this?
1
Not at all
2
3
4
5
Perfectly
14
Q

Is this equal?

A
How well did you know this?
1
Not at all
2
3
4
5
Perfectly
15
Q

How would you factor out this expression? (hint: GCF)

A

The GCF of 15, 10 and 25 is 5.

And then take the smallest variable (powers) from each, so x, y^2, z^3.

Hence, the GCF is 5(x)(y^2)(z^3)

How well did you know this?
1
Not at all
2
3
4
5
Perfectly
16
Q

How would you express this? (as a fraction)

17
Q

How would you express this? (as a fraction)

18
Q

Solve this:

19
Q

Answer and explain: