5.f Bases and Exponents (continued..) Flashcards

(15 cards)

1
Q

How would you solve an equation with a quadratic expression as the exponent?

A

We rewrite the expression so all bases are equal

How well did you know this?
1
Not at all
2
3
4
5
Perfectly
2
Q

Solve this:

A
How well did you know this?
1
Not at all
2
3
4
5
Perfectly
3
Q

A nonzero base raised to the zero power is equal to ____

A

A nonzero base raised to the zero power is equal to 1

How well did you know this?
1
Not at all
2
3
4
5
Perfectly
4
Q

Complete the equation:

A
How well did you know this?
1
Not at all
2
3
4
5
Perfectly
5
Q

Solve this:

A
How well did you know this?
1
Not at all
2
3
4
5
Perfectly
6
Q

Solve this:

A
How well did you know this?
1
Not at all
2
3
4
5
Perfectly
7
Q

Any nonzero base raised to the power of 1 = ?

A

The value would simply be the base itself

How well did you know this?
1
Not at all
2
3
4
5
Perfectly
8
Q

Solve this:

A
How well did you know this?
1
Not at all
2
3
4
5
Perfectly
9
Q

Solve this:

A
How well did you know this?
1
Not at all
2
3
4
5
Perfectly
10
Q

What is the adding like base with equal exponents trick?

A
How well did you know this?
1
Not at all
2
3
4
5
Perfectly
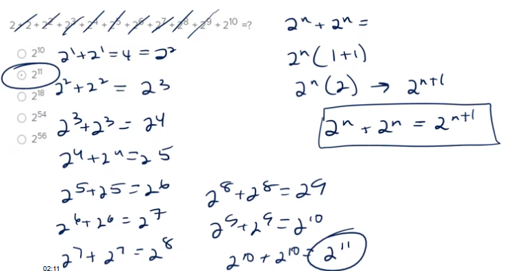
11
Q

Solve this:

A

Its like a waterfall, the 2+2= 2^2, which that added to 2^2 = 2^3… and so on…

until 2^11

How well did you know this?
1
Not at all
2
3
4
5
Perfectly
12
Q

Solve this:

A
How well did you know this?
1
Not at all
2
3
4
5
Perfectly
13
Q

How do you calculate the LCD of denominators in exponential form?

A
How well did you know this?
1
Not at all
2
3
4
5
Perfectly
14
Q

What is the LCD of the denominators?

A
How well did you know this?
1
Not at all
2
3
4
5
Perfectly
15
Q

Solve this:

A
How well did you know this?
1
Not at all
2
3
4
5
Perfectly