Given an electron with linear momentum p, what is its de Broglie wavelength?
The de Broglie wavelength allows us to access the wave nature of electrons. It gives an intuitive picture of quantization in systems such as atoms and the infinite potential well.
Derive the expression for the de Broglie wavelength of an electron accelerated through a potential difference V.
Use conservation of energy to give eV= (1/2) mv². Then apply λ=h/p = h/(mv).
State the Pauli exclusion principle for electrons in atoms.
Two electrons in an atom cannot have the same set of quantum numbers.
The Pauli exclusion principle comes about because electrons are identical fermions. This principle explains many observations related to multielectron systems.
For example, it helps to explain the electronic configuration of atoms as well as the structure of the periodic table. It is critical to explain the properties of metals.
True or False:
An electron’s spin is a classical angular momentum.
False
Electron spin is an intrinsic quantum property without classical analog; it cannot be described as classical angular momentum. It is intrinsic and quantized, with possible values of spin measurement along a given axis being +(1/2)ℏ and -(1/2) ℏ.
The spin angular momentum and orbital angular momentum live in different Hilbert spaces. The electron’s spin contributes to the magnetic moment of the electron.
Discuss the role of electron tunneling in the operation of a Scanning Tunneling Microscope (STM).
Quantum tunneling allows electrons to pass through the barrier formed by the vacuum gap with a non-zero probability (classically, electrons cannot pass).
This vacuum gap is between the sharp metal tip in the STM and the sample. Due to this tunneling, there is a tunneling current.
This current is highly sensitive to the distance between the tip and the sample, enabling atomic resolution imaging as the tip is scanned across the surface, the distance between the tip and the sample is varied so that the tunneling current remains constant. In this way, the features of the surface are captured at the atomic scale.
STM measures electron tunneling current between a sharp tip and a conductive surface.
Under what condition can electrons in a metal be approximated as a free electron gas?
When electron-electron and electron-ion interactions are negligible and the mean free path is much greater than the lattice spacing, allowing electrons to move freely through the crystal.
In this regime, the periodic potential from the lattice and interactions between electrons have minimal effect on motion, so electrons can be modeled as free particles.
This is the basis of the free electron gas model, which leads to the Drude model for conductivity. It works well in simple metals where scattering is infrequent and the potential is nearly uniform over the electron’s path.
Fill in the blank:
The ________- _______ distribution describes the distribution of electrons in a solid at thermal equilibrium and is essential for understanding semiconductor physics.
Fermi-Dirac
It determines the average number of electrons occupying a single particle energy state at a given temperature (it also depends on the chemical potential).
Critical for predicting electrical and thermal properties of materials, particularly at low temperatures.
Derive the expression for the radius of the nth orbit in the Bohr model for a hydrogen atom.
Explain why the Bohr model is able to predict the Rydberg formula for hydrogen spectral lines.
The model allows us to find the quantized energy levels in hydrogen by assuming that the angular momentum is quantized.
The difference in the energy levels then come out to be in correspondence with the frequencies of the observed spectral lines.
Energy difference ΔE=En−Em =hν leads directly to 1/λ=RH(1/m²−1/n²). Here RH is the Rydberg constant.
The hydrogen atom is often imagined as a proton around which an electron is moving in a circular orbit.
If we now apply classical physics to this system, we arrive at the conclusion that the hydrogen atom will not be stable, and that the electron will inevitably crash into the proton.
Why?
If we have quantized energy levels, this problem goes away. Since there are only a discrete set of energies an electron can have, it cannot radiate continuously.
In the Bohr model, what assumptions are made about electron orbits and radiation emission?
These assumptions allow the model to predict discrete spectral lines but limit its applicability beyond hydrogen-like systems (especially multielectron atoms).
Fill in the blank:
The quantization condition for angular momentum in the Bohr model is given by the formula _______.
This quantization condition is fundamental to the model. It ensures that only certain orbits are allowed, leading to discrete energy levels.
What are the main limitations of the Bohr model of the atom?
The Bohr model treats electrons as orbiting in fixed circular paths and does not incorporate the probabilistic nature of quantum mechanics or electron spin, so it only works for hydrogen-like atoms (one electron).
It cannot accurately explain spectral lines of multi-electron atoms, fine structure, or quantum phenomena like Zeeman splitting and spin-orbit coupling, which require quantum mechanics and wavefunctions.
Calculate the velocity of an electron in the first orbit of a hydrogen atom using the Bohr model.
Explain how the concept of energy quantization in the Bohr model leads to the stability of atoms.
Electrons cannot spiral into the nucleus because only discrete orbits with fixed energy are allowed.
Classical EM theory predicts collapse; quantization removes intermediate energy states.
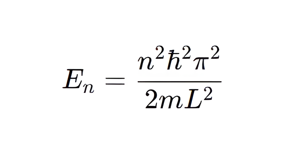
Derive the energy levels of a particle in a 1D infinite potential well of length L.
where n is a positive integer n = 1, 2, 3, …
Solving the time-independent Schrodinger equation with zero potential inside and infinite walls at boundaries. The solutions of the Schrodinger equation are sinusoidal. The boundary conditions for the potential imposes the condition that the wavefunction must be zero at the walls (since the particle cannot cross these boundaries and the wavefunction is related to the probability density). This directly leads to the quantization of the energy levels.
True or False:
The quantization of energy levels in atoms is a direct consequence of the wave nature of electrons.
True
The wave-particle duality of electrons leads to standing wave conditions in atomic orbitals, resulting in discrete energy levels. We can also consider the quantization as coming about once we solve the time-independent Schrodinger equation for the energy eigenfunctions.
Identify the condition under which the energy quantization in a harmonic oscillator becomes significant.
It becomes significant when the quantum of energy ħω is comparable to or larger than the thermal energy kBT.
This is typically observed at low temperatures or in systems with very high frequencies, where quantum effects dominate over classical behavior.
The discreteness of the energy levels then becomes important. It is just like looking at sand from different distances. Close up, we can observe the discreteness of the grains of sand, but from further away, the sand appears to continuous.
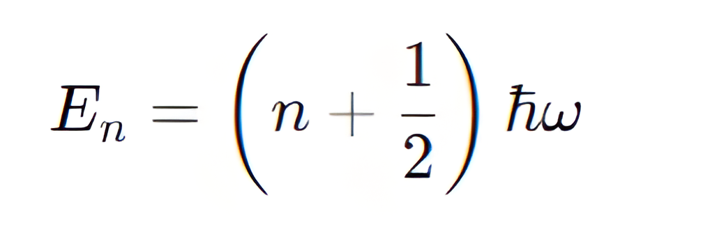
What are the energy levels of a particle in a one-dimensional quantum harmonic oscillator potential?
Quantized energies arise from solutions to the time-independent Schrödinger equation in a quadratic potential.
The boundary conditions now are that the wavefunctions must vanish as we go far away from the equilibrium point (typically x = 0).
If En is not equal to (n+ 1/2)ℏω, the energy eigenfunctions blow up far away from the equilibrium point.
For multielectron atoms, what is the central field approximation?
We assume that each electron in a multi-electron atom moves in an average, spherically symmetric potential created by the nucleus and the average effect of all the other electrons.
This total potential is called the central field. It is important because then, via the spherical symmetry of the central field, the energy eigenfunctions are radial functions times the spherical harmonics. The energy states have well-defined values of l and ml. We have hydrogen-like energy levels.
Note that the energy levels will depend on l in general. The central field means that the potential is no longer exactly 1/r. It is the 1/r potential that leads to the additional degeneracy in l.
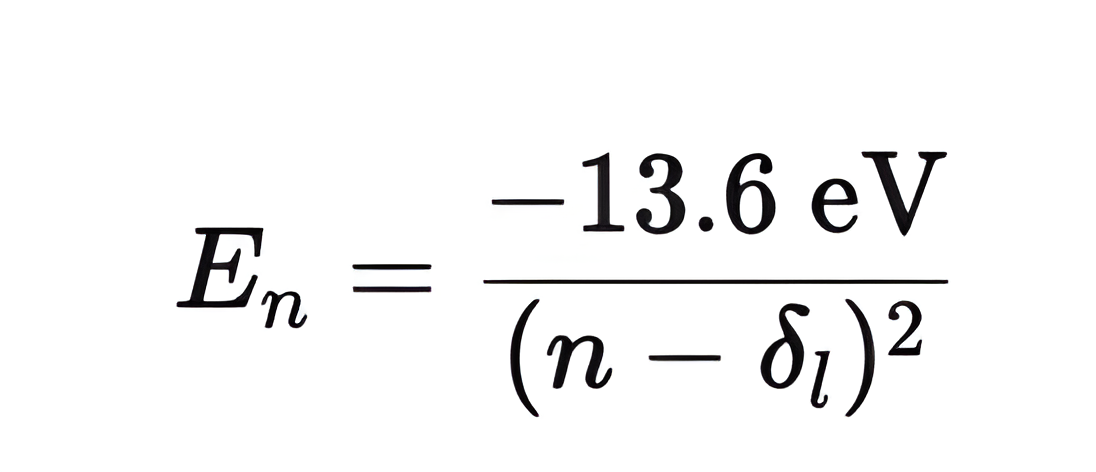
What is the quantum defect in alkali atoms?
It’s a correction to energy levels because the valence electron feels a non-1/r potential. The energy becomes:
Explain why the wave function of a quantum particle in a bound state must be normalizable.
Normalizability is a requirement for physical acceptability of quantum states and ensures that the total probability is unity.
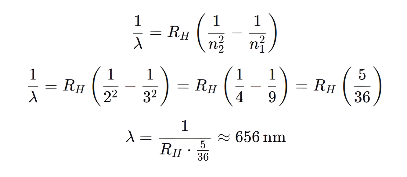
A hydrogen atom transitions from level n=3 to n=2.
How would you derive the emitted photon’s wavelength?
Derived from the Bohr formula for the energy levels and E=hc/λ.
Describe the role of selection rules in atomic transitions and how they affect spectral lines.
Selection rules explain why certain transitions are observed in spectra while others are forbidden, thereby influencing the intensity and presence of spectral lines.