Specialized Topics Flashcards

Understand advanced topics in modern physics, including nuclear and particle interactions, condensed matter properties, and the application of mathematical, astrophysical, and computational methods to complex physical systems. (86 cards)

1
Q

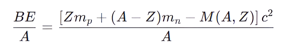
Describe the concept of nuclear binding energy and its relation to the mass defect.

A
  • Binding energy E: Energy required to disassemble a nucleus into its constituent protons and neutrons
  • Mass defect Δm: Difference between the mass of a nucleus and the sum of the masses of its individual nucleons

The binding energy per nucleon is equal to the total binding energy (Δm)c2, divided by the mass number A.
This energy is a measure of nuclear stability.

In nuclear reactions, binding energy differences result in energy release.

How well did you know this?
1
Not at all
2
3
4
5
Perfectly
2
Q

What is the equation for binding energy per nucleon in terms of the number of protons Z, the mass number A, and the mass of the nucleus?

Use mₚ for the mass of 1 proton and mₙ for the mass of 1 neutron. Assume atomic mass excludes electrons.

A

  • Z is the number of protons in the nucleus.
  • A is the total number of nucleons (mass number).
  • c is the speed of light in a vacuum.

There is a delicate balance in nuclei. Too few protons means that nuclear forces keeping the nucleus intact will be too small. Too many protons means that electrostatic forces will overwhelm the nuclear forces.

How well did you know this?
1
Not at all
2
3
4
5
Perfectly
3
Q

For a nucleus undergoing deformation, how does the nuclear quadrupole moment indicate departure from spherical symmetry?

A

A non-zero quadrupole moment signals ellipsoidal (non-spherical) charge distribution.

The quadrupole moment is connected to the shape as well as the spin states of a nucleus.

For example, a non-zero quadrupole moment can only exist in nuclei with nuclear spin bigger than 1/2.

How well did you know this?
1
Not at all
2
3
4
5
Perfectly
4
Q

Explain the significance of the liquid drop model of the nucleus in nuclear physics.

A
  • Treats the nucleus as an incompressible fluid drop.
  • Explains nuclear binding energy and fission phenomena.
  • Provides a basis for fission, explains trends in binding energy, predicts nuclear masses and decay energies.

Binding energy depends on:

  • Volume energy (strong attraction between nucleons)
  • Surface energy (fewer neighbors on the surface)
  • Coulomb energy (repulsion between protons)
  • Asymmetry energy (proton-neutron imbalance)
  • Pairing energy (extra stability for even-even nuclei

The liquid drop model is crucial for understanding nuclear reactions and stability, though it doesn’t account for shell effects.

How well did you know this?
1
Not at all
2
3
4
5
Perfectly
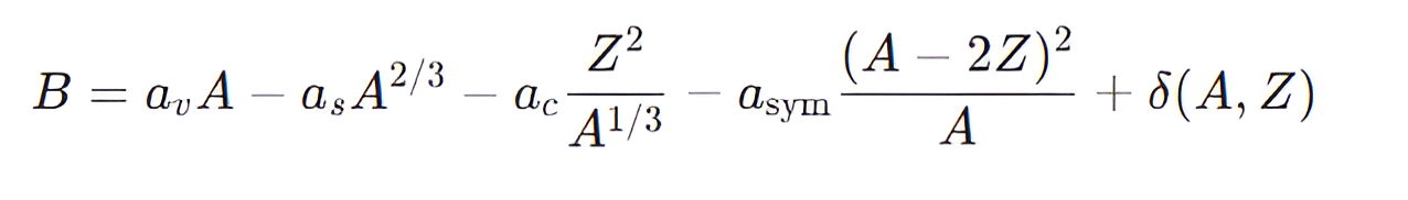
5
Q

What is the semi-empirical mass formula?

A

It provides an estimate for the binding energy of a nucleus in terms of:

  • the mass number A
  • the atomic number Z
  • the volume energy
  • the surface energy
  • the Coulomb energy (electrostatic interaction between the nucleons)
  • asymmetry energy that takes into account proton-neutron imbalance
  • a pairing term (which incorporates extra stability for even-even nuclei)

How well did you know this?
1
Not at all
2
3
4
5
Perfectly
6
Q

True or False:

The shell model of the nucleus can predict the existence of magic numbers associated with enhanced stability.

A

True

The shell model explains nuclear structure in terms of nucleons filling discrete energy levels, similar to electrons in atoms, and predicts magic numbers where nuclei exhibit extra stability.

How well did you know this?
1
Not at all
2
3
4
5
Perfectly
7
Q

Fill in the blanks:

In the context of nuclear physics, isotopes are nuclides that have the same number of ______, but different numbers of _______.

A

protons; neutrons

Isotopes of an element have identical atomic numbers but vary in mass numbers, leading to differences in nuclear properties such as stability and radioactivity.

How well did you know this?
1
Not at all
2
3
4
5
Perfectly
8
Q

What is the role of the nuclear force in maintaining nuclear stability, and what are its range and key characteristics?

A
  • Strong but short-ranged (~1-2 femtometers)
  • Attractive force that holds protons and neutrons together
  • Charge independent
  • Prevents a nucleus from tearing apart, as it overcomes the electrostatic repulsion between protons
  • Exhibits saturation property: Each nucleon interacts primarily with nearest neighbors

The nuclear force is essential for the existence and stability of atomic nuclei, and its characteristics are key to understanding nuclear reactions and decay processes.

How well did you know this?
1
Not at all
2
3
4
5
Perfectly
9
Q

Consider the following two isotopes of uranium: U-238 and U-235.

One would expect U-238 to be more stable than U-235 since it has more neutrons, and so one would expect larger nuclear forces.

However, this is not the case - U-235 is more stable. Why is this the case?

A

While neutrons help stabilize the nucleus, too many can lead to instability due to an imbalance in the nuclear force and asymmetry energy (as described in the semi-empirical mass formula).

Having too many neutrons is not always a good thing for the stability of the nucleus.

Also, U-235 is closer to a magic number configuration (especially in neutron number), which contributes to its relative stability. U-238 does not benefit from such shell closures and is more prone to alpha decay.

How well did you know this?
1
Not at all
2
3
4
5
Perfectly
10
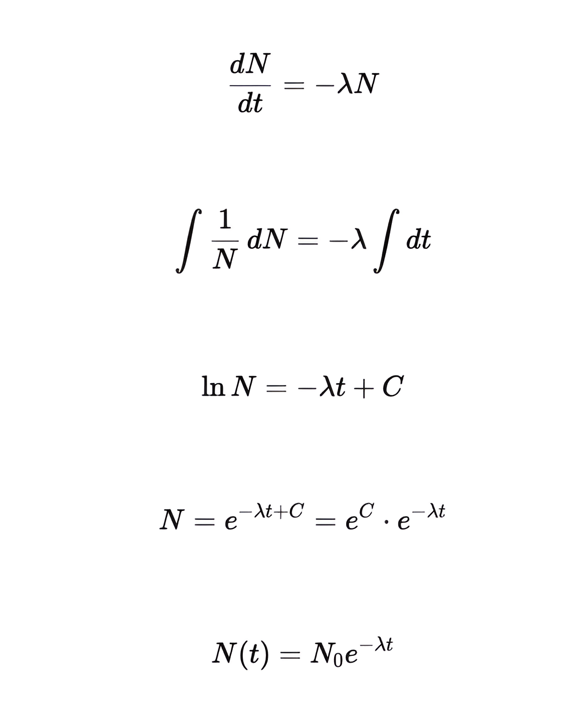
Q

Derive an expression for the number of undecayed nuclei at time t.

  • Assuming λ is constant.
  • Decay rate is defined as λ = - (1/N) (dN/dt)
  • Initial number of nuclei is N₀

A

  • λ is the decay constant.
  • N₀ is the initial number of nuclei

This is the decay law of radioactive decay. The derivation assumes a constant decay rate. The decay process is random for individual atoms but predictable statistically for large numbers, with each nucleus decaying independently of the others.

How well did you know this?
1
Not at all
2
3
4
5
Perfectly
11
Q

True or False:

The half-life of a radioactive isotope is generally independent of temperature and pressure.

A

True

The half-life is essentially unaffected by external physical conditions such as temperature and pressure. Such external conditions affect chemical processes very significantly, but do not affect nuclear processes. This has been confirmed experimentally.

The only known exception is that there are some modes of radioactive decay that involve the electrons in the atom (such as electron capture); these are slightly affected by chemical bonds which may change the shape of the electron shells around an atom (but this is a very special scenario).

How well did you know this?
1
Not at all
2
3
4
5
Perfectly
12
Q

What is the probability then that any given nucleus decays between time t and time t + dt?

Radioactive decay is a random Poisson process. This means that the probability for any nucleus to decay over an infinitesimal time interval dt is defined to be λ dt where λ is a constant.

A

  • Ask: What is the probability that a single nucleus survives until time t?
  • Divide the time interval from t = 0 to t into many small pieces of length dt.
  • For the nucleus to survive until time t, it must not decay in any of these small intervals.
  • The survival probability over time t is the product of the survival probabilities across each dt.
  • In the limit as dt → 0, this becomes an exponential decay function.
  • This result also gives the average number of undecayed nuclei at time t if we start with N₀.
  • To find the probability that the nucleus decays between time t and t + dt: It must survive until time t, then decay within the next small interval dt.
  • The product of these gives a probability distribution for the decay time.
  • This function P(t) is a probability density, and it tells us how likely a nucleus is to decay at a particular time t.

How well did you know this?
1
Not at all
2
3
4
5
Perfectly
13
Q

Fill in the blank:

For a radioactive element, the mean lifetime τ is related to the decay constant λ by the equation ______ .

A

τ =1/λ

The mean lifetime τ is the average time before a nucleus decays.

  • The probability that a nucleus decays between time t and time t + dt is P(t) dt =λe-λt dt.
  • The average value of the time t with this probability distribution is the integral from zero to infinity of time t times the probability density function P(t), with respect to time t.
  • Solving the integral gives 1/λ

How well did you know this?
1
Not at all
2
3
4
5
Perfectly
14
Q

Explain the concept of secular equilibrium in a decay chain and under what conditions it occurs.

A

This occurs when the half-life of the parent isotope is much longer than that of the daughter isotope.

In this case, the activity of the daughter isotope approaches that of the parent isotope.

To understand this, imagine that the initial number of daughter nuclei is zero. If the half-life of these nuclei is very short, whatever daughter nuclei are produced from the parent, almost immediately decay. Then the rate of the production of the daughter equals the rate of change of the daughter. This is secular equilibrium.

How well did you know this?
1
Not at all
2
3
4
5
Perfectly
15
Q

Discuss how conservation laws apply to radioactive decay and give an example involving beta decay.

A
  • Charge, energy, linear and angular momentum, lepton number, and baryon number must be conserved.
  • In beta decay, a neutron decays into a proton, an electron, and an antineutrino.

In this process, charge is conserved as the neutron, having no charge, changes into a proton (+1 charge) and an electron (-1 charge). Lepton number conservation is maintained as the electron (lepton number +1) is balanced by the antineutrino (lepton number -1). The number of baryons before is 1 (the neutron), and after is also one (one proton).

Energy is conserved - the initial rest energy of the neutron is conserved to the smaller total rest energy of the proton, electron, and antineutrino - the difference is taken by the kinetic energies of the proton, electron and antineutrino.

As far as angular momentum is conserved, that tells us that the antineutrino is essentially - the neutron, proton and electron all have spin 1/2. Two spin half particles cannot give an angular momentum 1/2, so the antineutrino (which also have spin 1/2) is essential.

Finally, the linear momentum of the neutron must equal the total linear momentum after the decay.

How well did you know this?
1
Not at all
2
3
4
5
Perfectly
16
Q

A parent nucleus, initially at rest, decays into a daughter nucleus and emits an alpha particle. Using conservation of energy and momentum, derive an expression for the alpha particle’s kinetic energy.

Let mD = mass of the daughter nucleus
Let mα = mass of the alpha particle
Let Q = total energy released
Let Kα = kinetic energy of the alpha particle
Let KD = kinetic energy of the daughter nucleus

A

We assume that the daughter and alpha move slow enough that we can use a non-relativistic treatment.

Q-value divided between the alpha particle and the daughter. The fraction that goes to the alpha particle is determined by the mass of the daughter and the mass of the alpha particle.

How well did you know this?
1
Not at all
2
3
4
5
Perfectly
17
Q

True or False:

Fusion reactions are always exothermic.

A

False

Only fusion reactions involving light elements up to iron are exothermic. Heavier elements require more energy to fuse than is released, making such reactions endothermic.

Remember that the binding energy per nucleon decreases beyond iron-56, the most tightly bound nucleus.

How well did you know this?
1
Not at all
2
3
4
5
Perfectly
18
Q

Discuss the role of the Coulomb barrier in nuclear reactions.

A
  • The Coulomb barrier is the energy barrier due to electrostatic repulsion between positively charged nuclei.
  • In fusion, overcoming this barrier requires high kinetic energy, typically achieved at high temperatures.
  • Quantum tunneling allows nuclei to penetrate the barrier even at lower energies than classically required.

The high temperatures needed for fusion in stars are a consequence of the need to overcome the Coulomb barrier. Similarly, if we want to use fusion on the Earth to produce electricity, we need to be able to generate very high temperatures.

How well did you know this?
1
Not at all
2
3
4
5
Perfectly
19
Q

What is the energy that maximizes the fusion probability in terms of the Gamow energy?

A

For two nuclei to fuse, they must overcome their Coulomb barrier. The probability that they do so is the Gamow factor. Here EG is a constant (the Gamow energy) that depends on the nuclei. The higher the energy, the higher this probability.

However, for fusion to occur at a significant rate, the product of the tunneling probability and the number of particles with sufficient energy (from the Maxwell-Boltzmann distribution) must be large.

How well did you know this?
1
Not at all
2
3
4
5
Perfectly
20
Q

Fill in the blanks:

In the context of nuclear physics, the Q-value of a reaction is defined as the difference in ______ ______ between the reactants and the products.

A

binding energy

The Q-value indicates the amount of energy released or absorbed during a nuclear reaction. A positive Q-value (the products are more tightly bound) signifies an exothermic reaction, whereas a negative Q-value indicates an endothermic reaction. We can also equivalently say ‘total rest mass energy’.

How well did you know this?
1
Not at all
2
3
4
5
Perfectly
21
Q

Analyze the mass-energy equivalence in the context of fission and its implications for energy release.

In what form is the energy released?

A
  • The mass difference Δm (the mass defect) between reactants and products converts into energy: E=(Δm)c².
  • This energy mainly goes into the kinetic energy of the fission fragments.
  • The rest goes into, for instance, the kinetic energy of the neutrons and gamma radiation.

Even small mass defects yield enormous energy due to the large value of c²; this explains the potency of nuclear energy.

How well did you know this?
1
Not at all
2
3
4
5
Perfectly
22
Q

True or False:

In fusion reactions, the binding energy per nucleon decreases.

Consider fusion of light nuclei like hydrogen isotopes.

A

False

In fusion reactions, light nuclei combine to form a heavier nucleus with a higher binding energy per nucleon. The difference in total binding energy is released as energy, in accordance with E = Δmc2.

How well did you know this?
1
Not at all
2
3
4
5
Perfectly
23
Q

Explain the role of a compound nucleus in nuclear reactions.

A

It is an intermediate state formed when a projectile (like a neutron or alpha particle) is absorbed by a target nucleus.

This new nucleus is excited and unstable, and it exists for a very short time (typically around 0.1 femtosecond) before decaying into more stable products.

Example: U-235 absorbs a neutron and forms U-236 (the compound nucleus); this then quickly splits into fission fragments.

The compound nucleus exists in a highly excited state and can quickly decay.

How well did you know this?
1
Not at all
2
3
4
5
Perfectly
24
Q

Fill in the blank

The shape that minimizes the critical mass for a given material is a ______.

A

sphere

A sphere minimizes surface area for a given volume, thus reducing neutron leakage and resulting in the smallest critical mass for a specific material.

How well did you know this?
1
Not at all
2
3
4
5
Perfectly
25
Identify the quark composition of the 𝜋+ and neutron.
π⁺ = ud̅, neutron = udd. ## Footnote The π⁺ meson is made of an up quark (u) and an anti-down quark (d̅). It is a type of meson, which always consists of a quark-antiquark pair. Baryons have 3 quarks; the neutron is a baryon made of one up quark (u) and two down quarks (d).
26
# Fill in the blank: The **negative muon**, 𝜇−, has properties most similar to \_\_\_\_\_\_.
Electron ## Footnote Both are **charged leptons with spin-½** with the same charge, but the muon is heavier. Unlike the pion, it is fundamental, and unlike the neutrino, it is charged. Both the electron and the negative muon participate in weak interactions.
27
What is the significance of the CKM matrix in the **Standard Model**?
It describes how **quarks change flavor** via the weak interaction. ## Footnote It is a 3 x 3 unitary matrix, with the matrix elements Vij representing the strength of the transition from an up-type quark i (u, c, t) to a down-type quark j (d, s, b). The CKM matrix explains quark mixing, predicts decay rates, and allows for CP violation.
28
# True or False: All fundamental forces in the **Standard Model** are mediated by **massless gauge bosons.**
False ## Footnote While the electromagnetic and strong forces are mediated by massless gauge bosons (photons and gluons respectively), the **weak force is mediated by massive W and Z bosons.**
29
# Fill in the blank: Gauge bosons acquire mass through a process known as the \_\_\_\_\_\_ mechanism.
Higgs ## Footnote The symmetries in the standard model initially require all gauge bosons to be massless. However, a scalar field called the **Higgs field** permeates all of space. This Higgs field acquires a vacuum expectation value, spontaneously breaking the SU(2) × U(1) symmetry for the electroweak interaction. Certain gauge bosons can interact with the Higgs field and acquire mass. The photon does not interact with the Higgs field and so does not acquire mass.
30
# Fill in the blank: The existence of **neutrino oscillations** implies that neutrinos have \_\_\_\_\_\_.
mass ## Footnote Neutrino oscillations, the phenomenon where neutrinos change flavors as they propagate, require that neutrinos have **non-zero mass differences between their mass eigenstates.**
31
In a (p,γ) nuclear reaction, what is the **resonance condition**?
A proton (p) is captured by a nucleus and a **gamma ray (γ) is emitted**. ## Footnote The resonance condition refers to the situation where the incoming proton energy matches an excited state of the compound nucleus. **Sharp peaks in cross-section** correspond to resonances.
32
# True or False: As the distance between quarks increases, the interaction strength between them **decreases**.
False ## Footnote In quantum chromodynamics (QCD), as the distance between quarks increases, the interaction strength between them increases. At short distances (high energies), quarks behave almost like free particles (**asymptotic freedom**). At large distances (low energies), the strong force becomes stronger, leading to quark confinement - quarks cannot be isolated.
33
# Fill in the blank: The Standard Model is based on **local gauge invariance** under \_\_\_\_\_\_.
SU(3) × SU(2) × U(1) ## Footnote The unification of these gauge symmetries is a key feature of the Standard Model, providing a framework for understanding the fundamental forces.
34
Analyze how **parity violation** in weak interactions was experimentally confirmed.
* Parity violation was confirmed by the Wu experiment, which studied beta decay in cobalt-60. * The experiment showed that electrons were emitted preferentially in a direction opposite to the nuclear spin, violating parity symmetry. If parity was not violated, the electrons would be emitted symmetrically in all directions. * This discovery demonstrated that weak interactions do not conserve parity, unlike electromagnetic and strong interactions. ## Footnote The confirmation of parity violation in weak interactions was a groundbreaking result, leading to significant changes in the understanding of fundamental symmetries in physics.
35
Explain the significance of the **Bravais lattice** in the description of crystal structures.
* It is an **infinite array of discrete points** in three-dimensional space arranged in such a way that the environment around each point is identical. * It **captures the repeating pattern of atoms** in a crystal. * There are 14 unique Bravais lattices in 3D, which are the **building blocks for all crystal structures**. * The periodicity of the Bravais lattice is **essential for understanding diffraction patterns and electronic band structures** in solids. ## Footnote Each Bravais lattice is characterized by its unit cell, which is the smallest repeating unit that can generate the entire lattice through translational symmetry.
36
In the context of a crystal lattice, what do we mean by a **basis**?
The **group of atoms attached to each lattice point** to form the actual crystal structure. ## Footnote For example, in sodium chloride (NaCl), the Bravais lattice is face-centered cubic (FCC). The basis includes one Na atom and one Cl atom, placed at specific positions relative to each lattice point.
37
What is the coordination number for a **simple cubic crystal**?
Six ## Footnote The coordination number is the number of nearest neighbors. Remember that for a simple cubic crystal, atoms are located only at the corners of the cube.
38
In a **simple cubic crystal**, determine the number of atoms per unit cell and the **packing efficiency.**
* 1 atom per unit cell. * Let the radius of an atom be r and the side length of the cube be a. * Then a = 2r * This leads to the packing efficiency ≈ 52%. ## Footnote Note that the atoms at corners shared by 8 adjacent cells. The low packing efficiency means that simple cubic crystals are extremely rare (the most well-known natural example is polonium).
39
# True or False: In a face-centered cubic (FCC) lattice, each atom has 12 **nearest neighbors.**
True ## Footnote In an FCC lattice, each atom is surrounded by 12 equidistant neighbors, forming a highly dense **packing configuration**. This coordination number contributes to the stability and compactness of FCC structures.
40
What is the packing efficiency for a **body-centered cubic (BCC)** crystal structure?
## Footnote The BCC structure has a coordination number of 8. Note that the packing efficiency is lower than that of FCC structures.
41
Explain how **Miller indices (hkl)** are determined for a given crystal plane.
1. Take reciprocal of intercepts with axes. 2. Reduce to smallest integers by multiplying by the least common multiple. ## Footnote Useful for labeling planes in **crystallography.**
42
# Fill in the blank: In the hexagonal **close-packed (HCP) structure**, the ratio of the height of the unit cell to the lattice constant 'a' for ideal packing is \_\_\_\_\_\_.
## Footnote This is a classic result. This ratio ensures optimal packing efficiency and symmetry in the HCP structure.
43
What are the **symmetry operations** in a crystal structure?
Symmetry operations include **translations, rotations, reflections, and inversion.** They define the possible operations under which a crystal remains invariant. ## Footnote The symmetries of a crystal structure are related to its physical properties. For example, piezoelectricity only occurs in non-centrosymmetric crystals.
44
State the **Bragg condition**.
2dsinθ = nλ ## Footnote The Bragg condition describes the angles at which constructive interference of X-rays (or other waves) occurs when they are scattered by the atomic planes in a crystal. * n = order of reflection (an integer, usually one) * λ = wavelength of the incident wave * d = spacing between crystal planes (interplanar spacing) * θ = angle of incidence (and reflection) relative to the crystal planes We look for constructive interference - if the path difference between rays reflected from successive planes is an integer multiple of the wavelength, they interfere constructively.
45
# True or False: The intensity of **X-ray diffraction** peaks is solely determined by the **crystal's atomic arrangement.**
False ## Footnote While atomic positions are crucial, several other factors, such as the atomic form factors and thermal vibrations, influence the observed intensity.
46
What is a **reciprocal lattice vector**?
It's a vector that **defines the periodicity of a crystal in reciprocal (momentum) space**. ## Footnote Reciprocal lattice vectors are used to describe diffraction patterns and are mathematically related to the crystal’s real-space lattice. The reciprocal lattice plays a central role in diffraction, band structure, and phonon analysis. It can be thought of as the 'Fourier transform' of the crystal lattice.
47
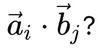
Given the real space lattice vectors ai (where i = 1, 2, 3) and the reciprocal lattice vectors bj, what is the following dot product?
2πδij ## Footnote This follows from the way that the vector bj is defined.
48
What is the **structure factor Fhkl** in terms of the atomic form factors?
## Footnote fj is the atomic form factor of the j-th atom; (xj, yj, zj are the fractional coordinates of the j-th atom in the unit cell, and the sum is over all atoms in the unit cell.
49
How does X-ray diffraction distinguish between **FCC and BCC** structures?
* Some peaks can be absent. * The structure factor determines the intensity of each diffraction peak. * For some planes, the structure factor becomes zero, leading to systematic absences in the diffraction pattern. ## Footnote Each diffraction peak is associated with a set of Miller indices (hkl) that characterize the planes leading to the diffraction peak. By computing the structure factor for BCC, we find that if h + k + l is odd, the structure factor is zero. Similarly, the structure factor for FCC is zero when not all indices are even or odd. This means that if the (100) peak is missing but (110) is present, we have a BCC structure. If the (100) peaks and (110) peaks are both missing but (111) is present, we have a FCC structure.
50
# Fill in the blanks: The **Laue condition for X-ray** diffraction requires that the difference between the incident and scattered wave vectors is a \_\_\_\_\_\_ \_\_\_\_\_\_ \_\_\_\_\_\_.
reciprocal lattice vector ## Footnote The Laue condition, **k'** - **k** = **G**, where **G** is a reciprocal lattice vector, ensures that the scattered waves constructively interfere, leading to observable diffraction.
51
How can we visualize the relationship between the **reciprocal lattice vector Ghkl** and the **(hkl) plane** in real space?
The reciprocal lattice vector Ghkl is perpendicular to the (hkl) plane in real space. ## Footnote * Use the Miller indices to write down two linearly independent vectors in the plane. * Show that the inner product of the lattice vector with both of these is zero.
52
Discuss the impact of **thermal motion** of atoms on **X-ray diffraction patterns.**
Thermal motion causes **atoms to deviate from their equilibrium positions**, leading to a decrease in diffraction intensity, particularly at high angles. ## Footnote The decrease in intensity is quantified by the Debye-Waller factor. Accurate interpretation of diffraction patterns requires correction for thermal motion effects, particularly in high-resolution studies.
53
# True or False: As we **increase the temperature** of a crystal structure, the intensity of the diffraction peaks increases.
False ## Footnote At higher temperature, the atoms vibrate more. The scattered waves then do not undergo perfect constructive interference. As such, we expect the intensity to decrease. The peaks are lower and broader.
54
Identify the primary assumptions of the **Drude model**.
* Electrons behave as classical particles. So classical mechanics applies. * Electrons undergo random collisions with the background ions (assumed to be fixed). * The probability that an electron undergoes a collision in time interval dt is dt/τ, where τ is the mean free time. * After each collision, the velocity of the electron is randomized. * Mean free time τ is constant. * Electrons experience no interaction except during collisions (that is, they are free and experience no potential energy except during the collisions). ## Footnote The Drude model provides a basic framework to understand electrical and thermal conductivity in metals, predicting properties like **Ohm's law and the Wiedemann-Franz law**, although it fails to account for quantum effects and electron-electron interactions.
55
What is the expression for electrical conductivity σ in the **Drude model**?
## Footnote * n is the carrier density * e is the charge * 𝜏 is the mean free time * m is the mass This relation models classical charge transport with scattering.
56
# True or False: The **Sommerfeld model** extends the **Drude model** by incorporating quantum statistics.
True ## Footnote The **Sommerfeld model treats electrons as a Fermi gas**, incorporating quantum mechanical principles such as the Pauli exclusion principle and Fermi-Dirac statistics, thus improving various predictions. For example, the Drude model predicts an electronic capacity that is too large.
57
What is the **Fermi energy**?
The energy of the **highest occupied state at absolute zero temperature** in a system of non-interacting fermions. ## Footnote More precisely, it is the energy difference between the highest and lowest occupied single-particle states in a quantum system of non-interacting fermions at absolute zero temperature - often the energy of the lowest state is zero. In metals, electrons fill energy states up to the Fermi energy, dictating the metal's behavior at low temperatures and under external perturbations. This is because of the Pauli exclusion principle - only electrons with energy close to the Fermi energy can possibly be excited. As such, the Fermi energy determines the electronic properties of metals, influences conductivity, specific heat, and magnetic properties.
58
What is the **difference** between Fermi energy and Fermi level?
* **Fermi energy** is the energy of the highest occupied state at absolute zero temperature in a system of non-interacting fermions. * **Fermi level** is the work required to add one more electron. ## Footnote The two quantities are not the same in general. The Fermi energy is only defined at zero temperature for non-interacting fermions; the Fermi level exists for interacting particles even at non-zero temperatures. It is the Fermi level that goes into the Fermi-Dirac distribution (it is the chemical potential). However, in the Sommerfeld model of free electrons, the Fermi level is very close to the Fermi energy, especially at low temperatures. This is why the two terms are commonly confused.
59
# Fill in the blanks: In the context of the **electron theory of metals**, the \_\_\_\_\_\_ \_\_\_\_\_\_ principle accounts for the distribution of electrons in different energy states.
Pauli exclusion ## Footnote Only one electron per quantum state; explains Fermi surface and electronic heat capacity.
60
Discuss the limitations of the **Drude model**.
* Does not account for quantum effects (for example, the wave nature of electrons that leads to band structure). * Assumes classical electron distribution. * As a consequence, the predicted heat capacity does not match the experimentally obtained heat capacities. The Drude model fails to predict the existence of energy bands. * The Drude model predicts that the Hall coefficient should always be negative (in reality, we can experimentally find this to be positive too). ## Footnote By using quantum mechanics, the **Sommerfeld model** provides a more accurate depiction of electron behavior in metals, especially at **low temperatures**, where quantum effects become significant.
61
Explain how the concept of **effective mass** modifies the classical understanding of a particle's behavior in a **crystal lattice.**
* Classically for a particle of mass m, we have F = ma. * In a crystal, we use effective mass to account for the band curvature. * Effective mass can even be negative. ## Footnote Effective mass allows us to use Newton-like equations in a quantum system. The quantum effects due to electrons behaving like a wave in a periodic lattice are captured by the effective mass. Ignoring electron-electron interaction, electrons in **periodic potentials** behave as free particles with modified mass due to quantum effects. All the effect of the lattice of positive ions is captured by the effective mass.
62
# True or False: The **Fermi level** in a semiconductor remains constant with **temperature changes.**
False ## Footnote The Fermi level in **semiconductors shifts** with temperature due to the change in carrier concentration and the intrinsic properties of the material. At **higher temperatures**, the increased thermal energy can excite more electrons across the band gap, altering the relative positions of the conduction and valence bands.
63
What is the expression for the intrinsic carrier concentration **ni** in a semiconductor, given the effective density of states for the conduction band **Nc** and the valence band **Nv**?
## Footnote * This comes from combining **Fermi-Dirac statistics** for electrons and holes in thermal equilibrium. * Eg is the band gap * k is the Boltzmann constant * T is the temperature
64
Identify three primary factors that **affect the mobility** of charge carriers in **semiconductors**.
* Impurity scattering * Lattice (phonon) scattering * Carrier-carrier scattering ## Footnote These scattering mechanisms alter the **ability of charge carriers** to move through the semiconductor lattice, influencing the overall conductivity. Impurity scattering is dominant at low temperatures, while lattice scattering becomes significant at higher temperatures.
65
# Fill in the blanks: In a semiconductor, the **Hall coefficient** RH is inversely proportional to the \_\_\_\_\_\_ \_\_\_\_\_\_ and is used to determine the **type of charge carriers** present in the material.
carrier concentration ## Footnote The Hall coefficient is defined as RH = 1/(nq), where n is the carrier concentration and q is the charge of the carrier. By measuring RH, one can infer whether the majority carriers are electrons or holes, based on the **sign of the coefficient.** The Hall effect is an example of an experiment where the conventional current is not the same as the actual current - the charge of the charge carrier matters.
66
Discuss how the concept of **band gap** influences the **electrical conductivity** of semiconductors and differentiate it from insulators and conductors.
* **Semiconductors** have a moderate band gap (typically 0.1–3 eV), allowing for thermal excitation of electrons at room temperature. * **Insulators** have a large band gap, making thermal excitation negligible, thus we have poor conductivity. * **Conductors** have empty states in the conduction band (or we have overlapping bands), resulting in high conductivity. ## Footnote The **band gap** is the energy difference between the **valence band and the conduction band.**
67
Describe the **Meissner effect**.
* It is the **expulsion of magnetic fields** from the interior of a superconductor as it transitions below its critical temperature. * It signifies that superconductors are **perfect diamagnets**, distinguishing them from perfect conductors which do not expel magnetic fields. ## Footnote The Meissner effect is a fundamental property that separates superconductivity from mere infinite conductivity.
68
# True or False: **Type I superconductors** can exhibit partial magnetic flux penetration.
False ## Footnote Type I superconductors exhibit a complete **Meissner effect**, expelling all magnetic flux. Partial penetration is characteristic of Type II superconductors in their mixed state.
69
Explain the role of **Cooper pairs** in **superconductivity**.
* Cooper pairs are **pairs of electrons with opposite spins and momenta** that form due to attractive interactions mediated by lattice vibrations (phonons). * They condense into a **collective ground state that flows without resistance** (these pairs behave as bosons) because scattering events that typically cause resistance cannot break the pairs or excite them out of this ground state. ## Footnote The formation of Cooper pairs leads to a superconducting gap in the energy spectrum, preventing scattering at low energies.
70
A long superconducting cylinder is placed in a uniform external magnetic field perpendicular to its axis. Why is there an **induced surface current**?
A surface current is induced such that the **magnetic field inside the superconductor** is exactly zero, in accordance with the **Meissner effect**. This current generates a field that cancels the external field within the bulk. ## Footnote In type I superconductors, perfect diamagnetism implies Binside = 0; surface currents arise from London's equations and shield the interior from any magnetic flux.
71
How does the critical temperature 𝑇𝑐 of a superconductor depend on the **isotopic mass 𝑀**?
## Footnote BCS theory predicts α = 0.5, and that is experimentally the case for conventional superconductors. The coupling between the electrons is mediated by the phonons. Now, the phonon frequency ω∝M-1/2; increasing M means lower phonon frequencies, which means lower electron-phonon coupling strength, which in turn means lower Tc. In unconventional superconductors, non-phonon mechanisms are involved so α is no longer 0.5.
72
# Fill in the blanks: The **Ginzburg-Landau theory** introduces the concept of a **complex order parameter**, ψ, whose magnitude squared, |ψ|², represents the \_\_\_\_\_\_ \_\_\_\_\_\_ \_\_\_\_\_\_.
density of Cooper pairs ## Footnote The Ginzburg-Landau theory is a phenomenological theory that describes **superconductivity** near the **critical temperature** and provides a way to understand macroscopic quantum effects in superconductors.
73
Explain the **Jeans criterion** for **gravitational collapse** and its implications in star formation.
* When will a cloud of gas undergo gravitational collapse to form stars? * There is a competition between gravity (pulls cloud inwards) and thermal pressure (resists collapse by pushing outwards). * The **Jeans criterion** determines when a cloud of gas will undergo gravitational collapse to form stars. * The **Jeans mass** is the critical mass above which gravitational forces lead to collapse. * The **Jeans length** is the critical size above which gravity overcomes pressure. ## Footnote The **collapse is triggered** when the actual mass and size of the gas cloud exceed the Jeans mass and length, respectively, leading to the formation of protostars.
74
# True or False: The **Schwarzschild radius** is the distance from the center of a black hole to the event horizon, and it depends on the black hole's mass and charge.
False ## Footnote The Schwarzschild radius depends only on the **mass of the black hole** and is given by the formula Rs = (2GM)/(c²). Charge and angular momentum are not considered in the Schwarzschild solution.
75
Analyze the significance of the **cosmological principle** in the context of the large-scale structure of the universe.
* The cosmological principle states that the **universe is homogeneous and isotropic on large scales.** * It underpins the standard model of cosmology, justifying the use of the Friedmann-Lemaître-Robertson-Walker metric which describes a uniformly expanding or contracting universe. * It provides the basis for big bang models as well as dark energy and dark matter models. ## Footnote While local inhomogeneities exist, such as galaxies and clusters, they do not violate this principle at cosmological scales.
76
What determines whether a star becomes a **white dwarf or neutron star**?
Final core mass ## Footnote If the core mass is less than the Chandrasekhar limit (~1.4 solar masses), it becomes a white dwarf (the core is supported by electron degeneracy pressure). If the mass is below about 2–3 solar masses, it is halted by neutron degeneracy pressure, forming a neutron star. Higher than this, we get a black hole. The Chandrasekhar limit and the Tolman–Oppenheimer–Volkoff limit separate the outcomes.
77
Explain the significance of **Green's functions** in solving inhomogeneous linear differential equations.
Green’s functions provide the **system’s response to a delta source**, allowing solutions to L[y]=f(x) via convolution. ## Footnote Suppose we have a linear differential operator L. Then the Green's function G(x,x') satisfies L[G]=δ(x−x'). The solution to L[y] = f(x) is then y(x)=∫G(x,x′)f(x′)dx'.
78
# True or False: The **eigenvalues of a Hermitian operator** are always complex.
False ## Footnote The eigenvalues of a Hermitian operator are always real. This property is central to quantum mechanics and the physical observables are represented by Hermitian operators.
79
What is the role of the **divergence theorem** in vector calculus?
It relates the **flux** through a closed surface to the **volume integral of divergence**. ## Footnote Useful for **converting local laws** (e.g. Gauss’s law) into global integral forms.
80
# Fill in the blank: The **Laplace transform** of a function f(t) is frequently used to transform \_\_\_\_\_\_ equations into algebraic equations.
differential ## Footnote The Laplace transform is especially useful in control theory and circuit analysis, as it simplifies the process of solving linear time-invariant systems.
81
Discuss the implications of the **Cauchy-Riemann** equations in complex analysis.
They are necessary for a function f(z) to be differentiable (analytic): * ∂u/∂x =∂v/∂y * ∂u/∂y=-∂v/∂x ## Footnote If the partial derivatives are continuous as well, then the Cauchy-Riemann equations are sufficient for analyticity. Analytic functions are infinitely differentiable. Both u and v are harmonic functions.
82
# True or False: All problems that are solvable by a **quantum computer** can be solved by a **classical computer** given enough time and resources.
True ## Footnote While quantum computers can solve certain problems more efficiently than classical computers, they do not expand the class of computable functions beyond those solvable by a Turing machine.
83
Explain how a **Hadamard gate** transforms the computational basis states ∣0⟩ and ∣1⟩.
## Footnote The Hadamard gate creates superpositions, enabling quantum parallelism in quantum algorithms.
84
In the **Deutsch-Jozsa** algorithm, why does quantum interference allow one query to distinguish constant vs balanced functions?
**Quantum interference cancels the amplitude of unwanted states**, allowing deterministic identification of constant vs. balanced functions in a single query. ## Footnote Quantum parallelism and constructive/destructive interference reveal global properties efficiently.
85
# True or False: No classical algorithm can possibly beat **Shor's algorithm** when it comes to factorization.
We don't know! | This is an open problem. ## Footnote Shor's algorithm is a quantum algorithm for finding the prime factors of an integer. It does so in polynomial time on a quantum computer. The currently best known algorithm is not polynomial. But it has never been proven that a polynomial classical algorithm is impossible.
86
What is the **information content** of a message that contains only the alphabet 'a'?
Zero ## Footnote The information content of a message in information theory is measured using the Shannon entropy, which quantifies the uncertainty or surprise associated with a message. If we always get 'a', there is no surprise. With probability one we get the symbol 'a', and the Shannon entropy is zero.