Electromagnetism Flashcards

Analyze electric and magnetic fields, circuits, and electromagnetic waves using Maxwell’s equations and fundamental laws of electromagnetism. (114 cards)

1
Q

Fill in the blank:

In the presence of both electric and magnetic fields, the trajectory of a charged particle is determined by the ______ force.

A

Lorentz

The Lorentz force combines both electric and magnetic contributions, determining the overall trajectory.

The Lorentz force law states that F = q(E + V x B), where:

  • q: charge of the particle
  • E: electric field (vector)
  • B: magnetic field (vector)
  • v: velocity of the particles (vector)
  • F: total force on the particles

How well did you know this?
1
Not at all
2
3
4
5
Perfectly
2
Q

True or False:

The Lorentz force can do work on a charged particle moving in a magnetic field (there is no electric field).

A

False

The magnetic component of the Lorentz force is always perpendicular to the velocity.

Since work is defined as the integral of the dot product of force and displacement, and displacement is parallel to velocity, a force perpendicular to the velocity does no work.

How well did you know this?
1
Not at all
2
3
4
5
Perfectly
3
Q

Use Gauss’s Law to derive the electric field inside and outside a spherical shell with total charge and radius.

A

Use a spherical Gaussian surface. By spherical symmetry, the electric field can only be radial. It will also have the same magnitude at every point on the surface. This immediately allows us to find the flux, which is then related to the charge enclosed.

How well did you know this?
1
Not at all
2
3
4
5
Perfectly
4
Q

True or False:

The magnetic field inside a long solenoid is uniform and directed along the axis of the solenoid.

A

True

This is true for an ideal solenoid (infinite length and tightly wound). The field inside is given by B = μ0nI, where n is the number of turns per unit length and I is the current.

How well did you know this?
1
Not at all
2
3
4
5
Perfectly
5
Q

What is Lenz’s Law and how does it relate to the conservation of energy?

A
  • It states that the direction of induced current is such that it opposes the change in magnetic flux.
  • It ensures energy conservation by preventing perpetual motion, as the induced EMF generates a magnetic field opposing the original change.

This opposition is critical in maintaining the balance of energy within electromagnetic systems.

How well did you know this?
1
Not at all
2
3
4
5
Perfectly
6
Q

Fill in the blank:

In a rotating coil within a magnetic field, the induced EMF is ______ at the instant when the plane of the coil is perpendicular to the magnetic field lines.

A

zero

At this orientation, while the magnitude of the flux is maximum, the rate of change of magnetic flux is zero, hence the induced EMF is momentarily zero.

How well did you know this?
1
Not at all
2
3
4
5
Perfectly
7
Q

True or False:

In a linear dielectric, we must treat the electric susceptibility as a tensor quantity.

A

False

In a linear, isotropic dielectric, the electric susceptibility χe is a scalar.

For example, it becomes a tensor in anisotropic materials.

How well did you know this?
1
Not at all
2
3
4
5
Perfectly
8
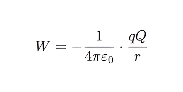
Q

A point charge q is moved from infinity to a distance r from a fixed stationary charge Q.

Derive the work done by the electrostatic force.

A

Work is negative of potential energy change; field does positive work when opposite charges attract.

How well did you know this?
1
Not at all
2
3
4
5
Perfectly
9
Q

Why can no stable equilibrium configuration exist using electrostatic forces alone?

Use arguments based on electric potential.

A
  • For electrostatics, at any point where there is no charge, Laplace’s equation needs to be obeyed.
  • Laplace’s equation does not permit any local maximum or minimum.
  • For stable equilibrium, we need a local minimum point.
  • As such, stable equilibrium is not possible.

Saddle points are allowed by Laplace’s equation, but these do not ensure stable equilibrium.

How well did you know this?
1
Not at all
2
3
4
5
Perfectly
10
Q

True or False:

The Lorentz force is responsible for the curvature of particle paths in a mass spectrometer.

A

True

In a mass spectrometer, charged particles are deflected by the Lorentz force when they move through a magnetic field, causing them to follow curved paths. The radius of curvature is used to determine the mass-to-charge ratio of the ions.

How well did you know this?
1
Not at all
2
3
4
5
Perfectly
11
Q

At large distances, which term dominates the potential of a neutral charge distribution?

A

The dipole term dominates.

V ∝ 1/r²

The monopole term vanishes for net zero charge; dipole is next leading term. This means that the electric field falls off as 1/r³.

How well did you know this?
1
Not at all
2
3
4
5
Perfectly
12
Q

Derive the electric field on the axis of an ideal dipole p.

Assume that the observation point is far from the dipole (ex: in the far-field or point-dipole limit).

A

This can be derived from the gradient of the dipole potential.

How well did you know this?
1
Not at all
2
3
4
5
Perfectly
13
Q

Explain under what conditions Gauss’s Law simplifies the calculation of electric fields.

A
  • The electric field exhibits high symmetry: planar, cylindrical, or spherical.
  • The charge distribution is uniform over the symmetric surface (or the charge distribution is known).
  • The field lines are either parallel or perpendicular to the Gaussian surface.

In such cases, the flux calculation simplifies, as the electric field magnitude can be factored out of the integral over the Gaussian surface.

How well did you know this?
1
Not at all
2
3
4
5
Perfectly
14
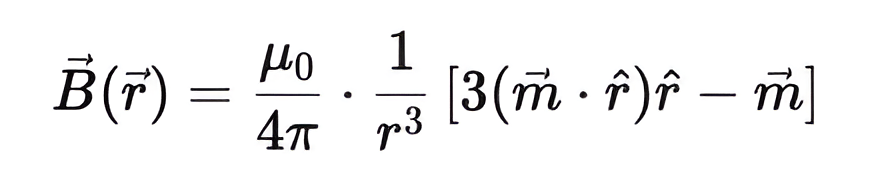
Q

True or False:

The magnetic field due to a dipole decreases as (1/r³) at large distances from the dipole.

A

True

This behavior can be derived by considering the field expressions for a magnetic dipole and applying the far-field condition.

How well did you know this?
1
Not at all
2
3
4
5
Perfectly
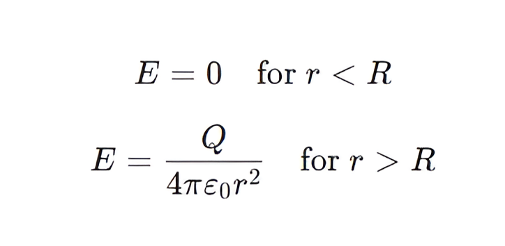
15
Q

A point charge is placed inside a cavity within a conductor.

Use Gauss’s Law to determine the induced surface charge on the cavity wall.

A

Equal and opposite to the enclosed charge.

The electric field is zero at every point within the conductor.

If we draw a Gaussian surface where every point of this surface lies within the conductor (not the cavity), then the flux through this surface is zero. So the charge enclosed must be zero. Physically, the surface charges rearrange so that the total electric field within the conductor becomes zero.

How well did you know this?
1
Not at all
2
3
4
5
Perfectly
16
Q

Explain how the uniqueness theorem justifies solving Laplace’s equation with boundary conditions.

A

The theorem ensures that the solution is unique; once boundary conditions are satisfied, no other solution exists.

Essentially, if we can guess A solution, we have found THE solution. The uniqueness theorem justifies the method of images.

How well did you know this?
1
Not at all
2
3
4
5
Perfectly
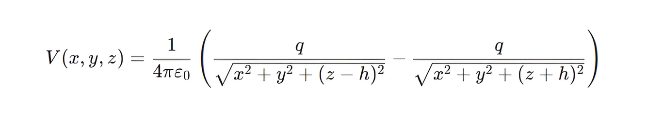
17
Q

Use the method of images to find the potential due to a point charge q at height h above a grounded infinite conducting plane.

A

  • The point charge has coordinates (0,0,h).
  • Place an image charge then at (0,0,-h).
  • Calculate the electric potential using just these two charges.

How well did you know this?
1
Not at all
2
3
4
5
Perfectly
18
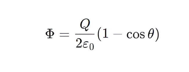
Q

A sphere of radius R surrounds a point charge Q located at its center (see the figure).

What is the flux through the circular cap of half angle θ?

A

One can set up the surface integral and do the integral. The easier way is to note that the solid angle subtended by the circular cap is 2π (1-cosθ).

Since the full solid angle of 4π leads to a total flux of Q/𝜀0, the result follows.

How well did you know this?
1
Not at all
2
3
4
5
Perfectly
19
Q

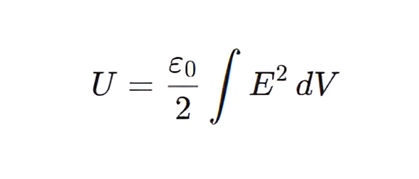
Given a system of static charges, how can we find the energy stored in the electric field E?

A

Essentially, we perform a volume integral (over all space) of the square of the electric field.

How well did you know this?
1
Not at all
2
3
4
5
Perfectly
20
Q

Consider a conducting sphere of radius R.

What is the work done in giving this sphere a charge Q?

A

  • This derivation assumes a conducting sphere, where the charge resides on the surface. As charge is added, the potential increases linearly with total charge q.
  • The work dW to bring a small charge from infinity equals the current potential times dq.
  • Integrating from 0 to Q gives the total electrostatic energy stored in the sphere.

How well did you know this?
1
Not at all
2
3
4
5
Perfectly
21
Q

True or False:

The resistance of an ideal conductor is zero.

Assume that an ideal conductor is perfectly ohmic and contains no impurities or thermal effects.

A

True

In an ideal conductor, there are no obstacles to the flow of charge, hence the resistance is zero.

However, real conductors always have some resistance, albeit very small in comparison to insulators.

How well did you know this?
1
Not at all
2
3
4
5
Perfectly
22
Q

Derive the capacitance of an isolated spherical conductor of radius.

A

C=4πε₀R

Use definition C=Q/V, with potential derived from Gauss’s law (using a spherical Gaussian surface).

How well did you know this?
1
Not at all
2
3
4
5
Perfectly
23
Q

A grounded conductor is near a point charge. Describe the surface charge distribution on the conductor qualitatively.

A

Negative charges concentrate closer to the external positive charge.

Conductors rearrange charge to cancel any electric field within the conductor.

How well did you know this?
1
Not at all
2
3
4
5
Perfectly
24
Q

Derive the discontinuity in electric field across a surface with surface charge σ.

A

Result from applying Gauss’s Law across a pillbox straddling the surface.

How well did you know this?
1
Not at all
2
3
4
5
Perfectly
25
Derive the **electric field** due to an infinite sheet with uniform charge density σ.
## Footnote Constant and independent of distance. Symmetry allows use of a Gaussian pillbox.
26
How is the **electrostatic potential** is path-independent?
The line integral of E around any closed loop is zero. ## Footnote The electrostatic field is conservative, so the electrostatic potential difference between two points depends only on their positions, not on the path taken.
27
Consider a ground conducting plane lying in the xy plane. A point charge is near a grounded plane at position (0,0,h). Estimate the **work** to bring it from infinity to this position.
## Footnote Place an image charge at (0,0,-h) and calculate the energy. However, remember that the electric field with the ground plane is only non-zero above the xy plane. The energy is half of what it would be with one charge at (0,0,h) and the image charge at (0,0,-h).
28
Write the expression for **electric potential** from a continuous charge density ρ(**r**).
## Footnote Generalization of point charge potential using integration.
29
Derive the **force per unit area** on a conductor due to its own electric field.
## Footnote This can be derived, for example, from the Maxwell stress tensor or, more simply, by a simple application of Gauss's law to find the electric field just above the conductor and just below and then taking the average.
30
What does **tight curvature of equipotential surfaces** imply about the electric field? ## Footnote This means that the equipotential surfaces are closely spaced.
Large magnitude of **E**. ## Footnote Field strength is related to gradient of potential.
31
Why must the **electric field** inside a conductor be zero in electrostatics?
Otherwise, **free charges would move**, violating equilibrium. ## Footnote There is no net charge inside a conductor, meaning that the electric field is zero (this follows from Gauss's law). Charges on the surface of a conductor can distribute themselves freely in order to set up an electric field that cancels any external field within the conductor (so that the total electric field within the conductor becomes zero).
32
A student claims that a set of stationary charges have produced the electric field below. **Why is his claim invalid?**
The claimed electric field has **zero curl**. ## Footnote Electric fields produced by stationary charges must have zero curl.
33
Derive the expression for power dissipation in a **resistor** in terms of current and resistance.
P = I² R ## Footnote Starting from the formula for power, P = IV, and using Ohm's Law V = IR, substitute for ( V ) to get P = I(IR) = I²R. This equation highlights that **power dissipation** increases with the square of the current through the resistor.
34
A battery of emf 𝜀 and internal resistance r is connected to an external resistor R. Derive the condition for **maximum power** transferred to R.
The power delivered to R is maximized when R = r. ## Footnote This follows from differentiating P= (ε² R) / (R + r)² with respect to R.
35
Explain how **Kirchhoff’s loop** rule follows from conservation of energy.
The sum of all potential differences around any closed loop in a circuit is **zero**. ## Footnote In a closed loop in a circuit, a charge can lose energy (example: resistor) or gain energy (example: battery). The total energy change must be zero. The total work done is zero.
36
Derive the **equivalent resistance** between two opposite corners of a cube made of 12 identical resistors.
Use symmetry and node potentials; the result is **5/6 R**. ## Footnote This is a classic problem solved by considering symmetry and applying Kirchhoff’s laws.
37
Describe how to find the **steady-state current** in an RL circuit after closing a switch connected to a DC source.
At long times, the inductor acts as a wire: current becomes I = ε/R. ## Footnote Inductors oppose changes in current. Once the current achieves a steady value, the change in current is zero. Therefore, the inductor does not oppose the flow of current.
38
Compare the **charging time** constants in an RC circuit versus an RL circuit.
* τ = RC for RC * τ = L/R for RL ## Footnote For the RC circuit, with the capacitor initially uncharged, the time constant tells us how quickly the voltage across the capacitor increases. After around time 5τ, the capacitor is essentially fully charged. Similarly, for the RL circuit, the time constant tells us how quickly the current through the inductor increases.
39
Two capacitors C₁ and C₂ are connected in series. Derive the **equivalent capacitance.** ## Footnote Assume ideal capacitors and no charge leakage in a closed circuit.
## Footnote Charges on series capacitors are equal (conservation of charge). The total potential difference is the sum of the individual potential differences. Use the definition of capacitance C = Q/V.
40
A wire loop with resistance R is shrinking uniformly in a uniform magnetic field B. **What is the induced current (I)?** ## Footnote Assume the magnetic field is perpendicular to the plane of the loop and constant in time.
## Footnote * I is the induced current in the loop. * B is the magntiude of the uniform magnetic field. * R is the electrical resistance of the wire loop. * A is the area enclosed by the loop. From Faraday’s law: emf = -dΦ/dt, where Ohm’s law gives current.
41
Suppose a constant current I is flowing through a resistor with resistance R and length L. **What is the electric field in the resistor?**
E = (IR)/L ## Footnote Use Ohm's law and assume that the electric field is constant. The electric field magnitude is the gradient of the electric potential.
42
In a **Wheatstone bridge** with known resistors, derive the condition under which the galvanometer reads zero.
## Footnote This ensures no potential difference across the bridge's center.
43
A capacitor with charge Q and capacitance C is connected to another uncharged capacitor with the same capacitance. **What happens to the final total energy?** ## Footnote Assume there is no battery.
The final total energy is Q2/(4C), so half of the energy has been dissipated as heat. ## Footnote * The two capacitors are in parallel, so the effective capacitance is 2C. * The charge for this effective capacitor is Q. * That means the potential difference is Q/(2C). * Then, the charge for each capacitor is Q/2. * The initial energy is Q^2/(2C). * The final total energy is Q^2/(4C).
44
A parallel plate capacitor is filled with a material with dielectric constant κ . **What is the capacitance?** ## Footnote The area of the parallel plates is A, the distance between them is d.
## Footnote The capacitance increases. Essentially, due to the dielectric, the electric field between the plates decreases, and so the potential difference decreases.
45
Consider a uniformly charged solid sphere of radius R and charge Q. **Find the net force on the 'northern hemisphere' of this sphere due to the 'southern hemisphere'.**
## Footnote This is a classic problem. The force can be found by using Coulomb's law and integrating. Alternatively, we can use the Maxwell stress tensor.
46
A resistor R₁ is in series with a parallel combination of R₂ and R₃, which is then connected to a battery of emf 𝜀. Derive an expression for the total **current** drawn from the battery.
## Footnote Combine parallel resistors first, then treat the result as in series with R₁.
47
In a circuit with two loops and three resistors (R₁, R₂, R₃), R₃ is shared by both loops. How would you determine the **current** through R₃ using **Kirchhoff’s rules**?
1. Assign loop currents. 2. Write two loop equations and one junction equation. 3. Solve the linear system. ## Footnote The sign of the result determines the current direction in R₃.
48
A charged particle moves in a region with uniform magnetic field B and zero electric field. Show analytically why the **speed remains constant.**
* Since F = q v × B is perpendicular to v, no work is done. * Then, via the work-kinetic energy theorem, the speed is constant. ## Footnote The magnetic force alters direction, not magnitude of velocity.
49
Derive the **radius of the circular** motion for a particle of mass m, charge q, and speed v in a uniform magnetic field B perpendicular to the velocity vector.
## Footnote Equate the magnetic force to the centripetal force: qvB = mv²/r.
50
A charged particle enters a region where E and B are perpendicular, with the velocity vector of the particle perpendicular to both E and B. Derive the condition for the **particle to pass undeflected.**
No deflection when the **electric force is equal the magnetic force** (E = vB). ## Footnote This principle is used in velocity selectors in mass spectrometry.
51
A particle with charge q moves in a **helical path** under the influence of a magnetic field (of magnitude B) pointing in the z direction. Derive expressions for pitch and angular frequency.
## Footnote In the plane perpendicular to the magnetic field, the charged particle executes uniform circular motion. The distance it moves in the z direction during the time it takes to complete one revolution is the pitch. v∥ is the component of the velocity in the same direction as the magnetic field.
52
A charged particle is shot into a region with a **uniform magnetic field** such that the velocity vector of the particle is, in general, not perpendicular to the magnetic field. Decompose its motion and describe the **resulting path**.
The motion is a **helix**, circular due to v⊥ and linear from v∥. ## Footnote * v⊥: the velocity perpendicular to the magnetic field. * v∥: the velocity parallel to the magnetic field. The perpendicular and parallel components evolve independently.
53
Derive the force on a segment of a **current-carrying wire** of length **l** in a magnetic field **B**.
## Footnote The charge in a little segment of the wire of length dl is nAe dl, where A is the cross-sectional area and n is the number density, and each charge carrier has charge e. The force that this little segment experiences is then nAe dl **v** x **B**. Integrate this, noting that the current is nAve.
54
# True or False: The total force on a closed loop of thin wire carrying a constant current and placed in a uniform magnetic field is **zero**, whatever the shape of the loop.
True ## Footnote This follows by integrating d**F** = I d**l** x **B** over the whole loop. I and **B** being constant go outside the integral. The integral of d**l** over the whole loop is zero.
55
Describe how the Lorentz force leads to the **Hall effect** in a conductor with current I and magnetic field B. ## Footnote Assume a steady-state situation with charge carriers moving through a uniform magnetic field perpendicular to the current.)
**F** = q**v**×**B** deflects charges, a creating transverse voltage. ## Footnote * F is the force on a charge due to electromagnetic fields. * q is the charge of the carrier (ex: electron). * v is the drift velocity of the charge carriers. * B is the magnetic field vector The voltage builds up until the electric force balances the magnetic force.
56
A particle enters a region with **E** ∥ **B**. Describe the **resulting trajectory**.
* The particle accelerates along the direction of the electric field (and the magnetic field). * The component of the velocity vector perpendicular to the magnetic field causes the particle to move in a circle in a plane perpendicular to the magnetic field. * The overall effect is that we have a **stretched helix**. ## Footnote This describes the motion of particles in, for example, auroras.
57
For a particle moving in a region with both **E** and **B** fields, show that the steady-state **drift velocity** is independent of charge and mass. ## Footnote Assume that the drift velocity is perpendicular to the magnetic field.
## Footnote In steady state, **E** + **v** × **B** = 0. Takes cross-product on both sides with **B** and simplify using the vector triple product.
58
What condition on the **magnetic flux** through a loop causes an induced emf?
An emf is induced when the magnetic flux through the loop **changes with time**: ## Footnote Faraday’s law relates emf to the time rate of change of flux.
59
# True or False: An increase in the speed of a moving conductor through a **magnetic field** will result in a decrease in the induced EMF.
False ## Footnote The induced emf is ∫ **v** × **B** · d**ℓ**. In general, increasing the speed of the conductor will increase this integral (if it is moved parallel to the magnetic field, this integral remains zero even if the speed is increased).
60
# True or False: According to **Faraday's law of induction**, the magnitude of the induced EMF in a closed loop is directly proportional to the rate of change of magnetic flux through the loop.
True ## Footnote Faraday's law can be mathematically expressed as E = (-dΦB)/dt. * E is the induced EMF * ΦB is the magnetic flux.
61
# True or False: An **induced current** always flows to oppose the change in the external magnetic field.
True ## Footnote This is **Lenz’s law**, a consequence of energy conservation.
62
# Fill in the blank: Lenz’s law ensures that the **induced emf** acts to \_\_\_\_\_\_ the change in magnetic flux.
oppose ## Footnote This opposition is reflected in the negative sign in Faraday’s law.
63
A rectangular loop is pulled with constant velocity v into a region with uniform **B** perpendicular to the plane. Derive the **induced emf.**
ε = B ⋅ l ⋅ v ## Footnote l is the width perpendicular to motion. Change in flux comes from area changing with time.
64
# True or False: The **Hall effect** only occurs in semiconductors.
False ## Footnote It occurs in any conductor with moving charges under a magnetic field. The Hall effect can be used to determine whether the charge carriers are positive or negative.
65
A **solenoid's current** increases linearly with time. A loop of area A is placed within the solenoid such that the plane of the loop is perpendicular to magnetic field produced by the solenoid. Derive the emf induced in the loop.
## Footnote The flux change is due to time-dependent current inside solenoid.
66
# Fill in the blank: In a **rotating conducting disk** in a perpendicular magnetic field, the induced emf between the center and rim is due to the \_\_\_\_\_\_ of the disk.
rotation ## Footnote This is known as the unipolar or Faraday disk generator.
67
For a **rotating conducting disk** in a perpendicular magnetic field, what is the induced emf between the center and rim of the disk? ## Footnote The disk has angular velocity ω and its radius is R.
## Footnote Use ∫ **v** × **B** · d**ℓ**. This leads to the integral from 0 to R of rwB dr.
68
For a rotating conducting disk in a perpendicular magnetic field, we want to calculate the emf between the center and the rim of the disk. **Why can we not simply calculate the rate of change of the flux through the disk?**
Faraday's law is **only true when the closed circuit is a loop of infinitely thin wire**, which is not the case for a rotating conducting disk. ## Footnote The law states that the induced electromotive force in any closed circuit is equal to the negative of the time rate of change of the magnetic flux enclosed by the circuit.
69
A square loop initially lies in the xy plane. A constant magnetic field of magnitude B points in the z direction. The loop now rotates with constant angular velocity such that the normal vector for the loop rotates in the yz plane. **Derive the expression for induced emf as a function of time.**
ε(t) = B A ω sin(ωt) ## Footnote Result comes from Φ(t) = BA cos(ωt), then differentiate.
70
What physical mechanism ensures that the energy for induced current comes from **mechanical work**?
The external agent must do work to **move the conductor** against the magnetic force due to the induced current. ## Footnote This mechanical work is converted into electrical energy via induction.
71
Consider two coaxial loops. The outer loop has current flowing counterclockwise (as viewed from above), and this current is increasing. **In what direction is the induced current in the inner loop?**
Induced current **opposes changes in flux**. ## Footnote If the current is increasing, the magnetic field is increasing. The inner loop will fight this change by producing a magnetic field in the opposite direction - this happens if a clockwise current flows in the inner loop. The magnetic field due to the inner loop tries to cancel the increasing field due to the outer loop.
72
Describe the role of **back emf** in inductive circuits.
* When a current flowing through an inductor changes, the flux through the inductor changes. * Then, according to Faraday's law, an emf is induced. * This induced emf opposes the change in the current. * The induced emf is proportional to the rate of change of the current, leading to ε = -L dI/dt. ## Footnote It is called back emf due to it opposing the change in current.
73
# Fill in the blank: A displacement current is necessary to preserve \_\_\_\_\_\_ of current in **Ampère’s law** when dealing with time-varying electric fields.
continuity ## Footnote Another way to put it is that charge is conserved, if there is a net flow of current out of a region, the charge changes in the region. Maxwell introduced the displacement current 𝜖₀ dE/dt to satisfy ∇⋅J=−∂ρ/∂t.
74
# True or False: A time-varying magnetic field can create a **non-conservative electric field**, even in the absence of charges.
True ## Footnote Faraday’s law (∇×E=−∂B/∂t) shows induced E fields can circulate without charges.
75
# True or False: Consider two stationary loops of wire, each carrying the same current, placed near each other. The flux of the magnetic fields through the loops (due to each other) is **equal**, independent of the shapes and positions of the loops.
True ## Footnote This is the idea of mutual inductance.
76
# Fill in the blank: Maxwell's equations unify electricity and magnetism by relating **time-varying electric and magnetic fields** through the \_\_\_\_\_-\_\_\_\_\_ law and Faraday’s law.
Ampere-Maxwell ## Footnote Faraday's law implies that changing magnetic fields lead to electric fields. The Ampere-Maxwell law (that is, Ampere's law with Maxwell's correction) implies that changing electric fields lead to magnetic fields.
77
Explain how electromagnetic waves emerge from **Maxwell’s equations** in vacuum.
* Take curl of Faraday’s and Ampère-Maxwell’s laws. * Apply Gauss's law for electric and magnetic fields in vacuum. * Both fields satisfy **wave equations** with speed. ## Footnote Maxwell's equations also predict that these waves are transverse waves.
78
A time-varying electric field (the magnitude of the electric field changes but its direction does not) in free space generates a magnetic field. **What is the nature of this magnetic field?**
It **forms closed loops** around the direction of the changing electric field. ## Footnote This follows by analogy wit how the magnetic field for an infinitely long current carrying straight wire is found using Ampere's law.
79
A long straight wire carries a time-dependent current. What is the direction of the **electric field induced outside the wire?**
**Parallel** to the wire. ## Footnote This follows from the analogy between Faraday's law and Ampere's law. One can look at how the magnetic field for an infinitely long solenoid is found using Ampere's law. In that case, the magnetic field is parallel to the axis of the solenoid.
80
# Fill in the blank: The net **electric flux** through a closed surface is proportional to the \_\_\_\_\_ \_\_\_\_\_ \_\_\_\_\_ enclosed.
total electric charge ## Footnote Gauss’s law in integral form: ∮E⋅dA=Qenc/ϵ0.
81
A rectangular loop of wire carrying a current I 2 is placed near a long straight wire carrying a current I 1 as shown in the figure. The length of the loop is ℓ and its width is w. The shortest distance between the loop and the straight wire is d. What is the force experienced by the loop?
## Footnote * The total force on the two short segments of the loop is zero. * The direction of the current in the two segments is opposite, and they experience a similar magnetic field. * The long edges experience forces that are unequal in magnitude and opposite in direction, with the edge closer to the straight wire experiencing a bigger force. * Since the magnetic field produced by the straight wire is perpendicular to the current flowing in the long edges, these forces are easily calculated and then the total force is found.
82
A current carrying loop of wire is placed in the xy-plane. A constant magnetic field is then applied in the unit vector in the z-direction. **What is the torque experienced by the loop?**
Zero ## Footnote The magnetic moment and the magnetic field are parallel (or anti-parallel, depending on the direction of the flow of current).
83
How does the **continuity equation** arise naturally from Maxwell’s equations?
## Footnote Take the divergence of Ampère-Maxwell’s law. Note that the divergence of a curl is zero. The continuity equation ensures local conservation of charge.
84
Consider a conducting rod of length l (attached to a wire) sliding on rails in the presence of a constant magnetic field B perpendicular to the plane of the rails. The initial velocity of the rod is v0 and its mass is m. **If the resistance of the rod is R, what is the velocity of the rod at time t?**
## Footnote Faraday's law induces an emf Bℓv, leading to current I = Bℓv/R. Lorentz force gives a magnetic braking force F = -B^2 ℓ^2 v/R, resulting in an exponential decay via Newton’s second law.
85
A circular loop of radius a lies in a region where the magnetic field increases linearly with time: B(t)=αt. **Find the induced electric field E(r) at a distance r from the center (for r greater than a).** ## Footnote Assume that the magnetic field is perpendicular to the loop.
E(r) = (1/2) αr ## Footnote * E(r) is the magnitude of the induced electric field at radial distance r. * α is the constant rate of change of the magnetic field with time. * r is the radial distance from the center of the loop. To find this result, apply Faraday’s law in integral form: ∮ E ⋅ dℓ = -dΦB/dt ⇒ E(2πr) = -απr^2. Solve for E.
86
A long solenoid with n turns per unit length carries a current increasing as I(t)=I₀+βt. **Determine the induced electric field at a point outside the solenoid at a radial distance r.**
## Footnote a: the solenoid’s radius. Only flux inside the solenoid contributes. Use Faraday's law with ΦB = μ₀nIπa².
87
A wire of radius a and conductivity σ carries a steady current I which is distributed uniformly over its cross-section. **What is the Poynting vector at the surface of the conductor?**
## Footnote The Poynting vector shows that electromagnetic energy flows into the wire at a rate equal to I2R, matching the power lost to resistance.
88
# Fill in the blank: If we want a **point charge to generate electromagnetic radiation**, the charge must be moving with non-zero \_\_\_\_\_\_.
acceleration ## Footnote Accelerating charges lead to electromagnetic radiation.
89
What is the relationship between the **electric and magnetic fields** generated by an oscillating infinite sheet of charge?
Fields are **perpendicular** to each other and to the sheet. ## Footnote The geometry produces plane EM waves with k ⊥ E ⊥ B, satisfying ∇×**E** = -∂**B**/∂t and ∇×**B** = μ₀ε₀ ∂**E**/∂t. The electric and magnetic fields have the same frequency and are in phase. Their magnitudes satisfy the relationship B = E/c.
90
What is the relation between the **magnitudes of the electric and magnetic fields** in a plane electromagnetic wave in vacuum? ## Footnote Assume a monochromatic plane electromagnetic wave propagating in vacuum, with fields perpendicular to each other and to the direction of propagation.
E = cB | (c is the speed of light in vacuum) ## Footnote This is derived from Maxwell’s equations, combining ∇×E =−∂B/∂t and ∇×B =μ0ϵ0∂E/∂t. Once we have the wave equations (one for the electric field and one for the magnetic field), look at the properties of these solutions, as the solutions must obey Faraday's law.
91
A linearly polarized plane wave propagates in the +x direction. The electric field oscillates along the z-axis. What is the **direction of the magnetic field**?
Along the -y-axis, such that **E** × **B** points in +x. ## Footnote In vacuum, EM waves are transverse: E ⊥ B ⊥ k. The direction of **E** x **B** gives the direction of the propagation of the wave.
92
# Fill in the blank: In a non-conducting medium of permittivity ε and permeability μ, the **wave speed** is v = \_\_\_\_\_.
## Footnote This is derived from combining Maxwell's equations in linear, isotropic media. For conducting media, one needs to consider the attenuation of the waves.
93
# True or False: In an EM wave traveling in vacuum, the **average energy density** is equally divided between electric and magnetic fields. ## Footnote Assume a linearly polarized, monochromatic plane electromagnetic wave propagating in vacuum.
True ## Footnote u = (1/2)ϵ₀E² + 1/(2μ₀)B², and since E = cB, both terms are equal. Note that c = 1 / √(μ₀ · ε₀).
94
Show that the **momentum density** p of an electromagnetic wave is related to the **Poynting vector** S.
**p** = **S**/c² ## Footnote This comes from energy-momentum conservation (leading to the Poynting vector) and the stress-energy tensor of the EM field (this allows us to understand the momentum of the wave). Then, looking at conservation of momentum, we find the required relationship.
95
A wave is partially reflected and transmitted at the boundary between two dielectrics. Assuming no free charges, what **boundary conditions** determine the amplitude of the transmitted electric field?
**Continuity** of E∥ and D⊥ at the interface. ## Footnote From Maxwell’s equations: tangential E and normal D must be continuous. D is continuous since there are no free charges.
96
A circularly polarized wave has electric field components below. What is the **polarization state** and rotation direction?
* **Right-hand circular polarization** (if looking in direction of propagation). * At a fixed point, the electric field vector is **rotating clockwise** when viewed in the direction of wave propagation (hence 'right-hand'). ## Footnote The vector **E** rotates in the xy-plane as time evolves.
97
Derive the **wave equation** for the electric field in vacuum using Maxwell’s equations.
## Footnote * Take the curl of ∇×E =−∂B/∂t. * Substitute B from Ampère-Maxwell law. * The left hand side can be written in terms of the Laplacian and the divergence. * The divergence of the electric field is zero since we are looking at vacuum (no charges). * On the right hand side, the current density is zero since we are looking at vacuum (no currents).
98
# True or False: The **magnetic field** of a plane wave can have a component in the direction of propagation.
False ## Footnote Plane EM waves in vacuum are purely transverse: B ⊥ k.
99
What role does **electromagnetic induction** play in the operation of an AC generator?
* An AC generator relies on electromagnetic induction to **convert mechanical energy into electrical energy**. * As the generator's coil rotates in a magnetic field, the **changing flux induces an alternating EMF**. ## Footnote The frequency of the alternating current is determined by the rotational speed of the coil.
100
What is the time-averaged **Poynting vector** of a monochromatic plane wave in vacuum? ## Footnote Assume sinusoidal time dependence and that the wave travels in free space.
## Footnote S = **E** × **B**/μ0; averaging over a full cycle gives the prefactor 1/2. Remember that **B** and **E** are perpendicular with **B** = **E**/c, and E₀ is the amplitude.
101
An **EM wave** enters a **conductor** with finite conductivity σ. What happens to the wave inside?
It **decays exponentially** with skin depth (at low frequencies). ## Footnote Solving Maxwell’s equations with Ohm’s law leads to a complex wavevector, which implies attenuation. Physically, the free charges in the conductor interact with the electromagnetic wave.
102
How does the **impedance Z** of a medium affect the reflection coefficient at a boundary?
## Footnote Comes from the boundary conditions. Here we have medium 1 with impedance Z₁ and medium 2 with impedance Z₂.
103
A **Gaussian pulse** propagates in vacuum. Describe qualitatively how its frequency content evolves over time and space. ## Footnote Assume the pulse is propagating in a linear, isotropic, and non-dispersive vacuum with no nonlinear effects or boundaries.
The **pulse maintains** shape and frequency content (no dispersion), as all frequencies travel at same speed c. ## Footnote Vacuum is non-dispersive; group and phase velocities are equal.
104
A sinusoidal voltage source is connected to a series RLC circuit. Derive the condition for **resonance in terms of angular frequency.**
## Footnote The inductive and capacitive reactances cancel, as the imaginary part of the impedance needs to be zero. The impedance is then purely resistive.
105
# True or False: In a purely **inductive AC circuit**, the current is in phase with the voltage.
False ## Footnote Current lags voltage by π/2 in a purely inductive circuit. Remember that the inductor opposes changes in current, so the voltage has a phase difference with the current.
106
Find the **impedance 𝑍** of a circuit with a resistor 𝑅, inductor 𝐿, and capacitor 𝐶 all in parallel.
## Footnote * Use admittance (the inverse of the individual impedance). * These add for our parallel configuration, so the total admittance is just the sum of the individual admittances. * Then, the total admittance is the inverse of the total impedance.
107
# Fill in the blank: The **average power** delivered to an RLC circuit is \_\_\_\_\_\_.
𝑃 = 𝑉ᵣₘₛ𝐼ᵣₘₛcos(𝜙) ## Footnote cos(𝜙) is the power factor, dependent on phase difference between voltage and current.
108
Explain why **power is zero** in a purely reactive **AC circuit**.
Voltage and current are 90° out of phase, so 𝑃 = 𝑉ᵣₘₛ𝐼ᵣₘₛcos(𝜙) = 0. ## Footnote 𝑉ᵣₘₛ is the root-mean square voltage, 𝐼ᵣₘₛ is the root-mean square current, and 𝜙=90° is the phase angle. Reactive elements (capacitors and inductors) store and release energy but do not dissipate it. Only resistive elements convert electrical energy into heat, producing real power.
109
In an RLC series circuit driven at frequency 𝜔, derive the condition for **maximum current amplitude.**
## Footnote At resonance, the imaginary part of impedance vanishes.
110
A transformer operates with primary and secondary coils. **If the number of turns in the secondary is doubled, what happens to the output voltage?**
It doubles. ## Footnote 𝑉ₛ/𝑉ₚ = 𝑁ₛ/𝑁ₚ for ideal transformers (no loss). This relationship comes from Faraday's law.
111
A capacitor and resistor are in series in an AC circuit. **Determine the phase angle between the current and voltage.**
Current leads voltage. ## Footnote Derived from 𝑍 = 𝑅 − j/(𝜔𝐶).
112
Derive the **voltage amplitude** across the inductor in a series RLC circuit as a function of frequency.
## Footnote V is the amplitude of the total voltage. Voltage across the inductor grows with 𝜔 and depends on the total impedance.
113
# True or False: A **force field** describes how forces like gravity or electricity act at a distance, assigning a force to every point in space.
True ## Footnote Force fields allow Newton’s laws to apply to **interactions without direct contact**, simplifying analysis of long-range forces.
114
# Fill in the blank: The \_\_\_\_\_ \_\_\_\_\_ \_\_\_\_\_ is the **energy stored** due to the position of a **charge in an electric field**.
electric potential energy ## Footnote Electric potential energy is given by U = qV, where q is the charge and V is the electric potential.