Laboratory Methods Flashcards

Evaluate experimental setups, interpret data, and use error analysis, instrumentation, and detection techniques in physics experiments. (56 cards)

1
Q

Explain the difference between systematic and random errors and provide an example of each.

A
  • Systematic Errors: Consistent and repeatable errors associated with faulty equipment or experimental design.
  • Random Errors: Occur due to unpredictable fluctuations in experimental conditions.

A systematic error could be a miscalibrated scale, while a random error could be variations in temperature affecting measurements.

Systematic errors can often be corrected with calibration, while random errors are reduced through statistical analysis.

How well did you know this?
1
Not at all
2
3
4
5
Perfectly
2
Q

True or False:

The standard deviation of a data set provides a measure of the accuracy of the measurements.

A

False

The standard deviation measures the precision, indicating how much measurements vary around the mean. Accuracy refers to how close a measurement is to the true value.

How well did you know this?
1
Not at all
2
3
4
5
Perfectly
3
Q

What is the covariance between two random variables?

A

A measurement of how much the two random variables change together.

If one variable increases, what happens to the other?

  • If Cov(X,Y) is positive, then if X is above its mean, Y is also above its mean. If X is below its mean, Y is below its mean.
  • If Cov(X,Y) is negative, if X is above its mean, Y is below its mean.

How well did you know this?
1
Not at all
2
3
4
5
Perfectly
4
Q

What is the correlation coefficient ρ in terms of covariance?

A

This measures the linear dependence between the two random variables X and Y. Note that ∣ρ∣≤1.

The correlation coefficient is the normalized form of covariance, providing a dimensionless measure of linear correlation between variables.

How well did you know this?
1
Not at all
2
3
4
5
Perfectly
5
Q

In error propagation, how do uncertainties combine when adding two independent measurements with known uncertainties?

A

If A and B are independent measurements with uncertainties σA and σB, then the uncertainty is C = A + B, then σC = √[σA²+ σB²] .

This formula assumes that the uncertainties are uncorrelated and follow Gaussian distributions. The variance of the normal variable obtained by adding two independent normal variables is the sum of the variances of the two normal variables.

How well did you know this?
1
Not at all
2
3
4
5
Perfectly
6
Q

Derive the uncertainty in the quantity below, given uncertainties in X,Y,W.

A

Uses standard formula for propagation of independent fractional uncertainties as well as the power rule. This can be derived from the general formulation of propagation of uncertainties using partial derivatives.

How well did you know this?
1
Not at all
2
3
4
5
Perfectly
7
Q

Fill in the blanks:

The ______ is a measure of the center of a data distribution, while the ______ ______ quantifies its spread.

A

mean; standard deviation

The mean provides a central value of the data, whereas the standard deviation indicates the extent to which data points deviate from the mean.

How well did you know this?
1
Not at all
2
3
4
5
Perfectly
8
Q

State the Central Limit Theorem and its significance in experimental physics.

A
  • Given a sufficiently large number of independent and identically distributed (i.i.d.) random variables with finite mean and variance, the distribution of their sample mean (or sum) will approximate a normal (Gaussian) distribution, regardless of the original distribution of the variables.
  • It justifies why the distribution of measurement errors is usually modeled using a normal distribution.

This is significant because it allows physicists to use normal distribution approximations for errors in measurements, facilitating statistical analysis and hypothesis testing.

How well did you know this?
1
Not at all
2
3
4
5
Perfectly
9
Q

Explain the concept of a confidence interval.

A

It provides a range of values within which the true parameter is expected to lie with a certain probability (e.g., 95%).

Confidence intervals are crucial for understanding the reliability and variability of estimated parameters, especially in the presence of uncertainty.

How well did you know this?
1
Not at all
2
3
4
5
Perfectly
10
Q

A measurement yields a mean μ and standard deviation σ. What is the 95% confidence interval for the mean?

Assume the data is normally distributed and based on N independent measurements.

A

μ±1.96σ / √N

  • μ is the sample mean of the measurements.
  • σ is the sample standard deviation.
  • N is the number of independent measurements.

The factor 1.96 is the z-score (for the 95% confidence interval). N is the number of measurements.

How well did you know this?
1
Not at all
2
3
4
5
Perfectly
11
Q

Discuss the importance of using a weighted average in data analysis for measurements with different uncertainties.

A

Weighted averages account for measurements with different uncertainties by giving more importance to measurements with smaller uncertainties.

This ensures that more precise measurements have a greater influence on the final result, improving the overall accuracy and reliability of the data analysis.

How well did you know this?
1
Not at all
2
3
4
5
Perfectly
12
Q

Describe how each of the following distributions are typically used in physics:

  • Poisson
  • Gaussian
  • Binomial
A
  • Poisson: counting rare, discrete events in a fixed interval of time or space. Used widely in radioactive decay and photon counts.
  • Gaussian: modeling continuous variables influenced by many small, random effects. For example, thermal noise in electronics.
  • Binomial: discrete success/failure processes. Example: detector efficiency studies.

The Gaussian is often a limiting case of both Poisson and Binomial at large N.

How well did you know this?
1
Not at all
2
3
4
5
Perfectly
13
Q

True or False:

The variance of a Poisson distribution is equal to its mean.

A

True

In a Poisson distribution characterized by the parameter λ, both the mean and variance are equal to λ. This property is vital for distinguishing Poisson processes from other distributions.

How well did you know this?
1
Not at all
2
3
4
5
Perfectly
14
Q

Discuss the conditions under which the Poisson distribution can approximate the binomial distribution.

A
  • The number of trials (n) is large.
  • The probability of success (p) is small.
  • The product (np ) remains moderate (typically less than 10).

This approximation is particularly useful in simplifying calculations in events characterized by low probabilities and high trial counts, common in various fields of physics (for example, radioactive decay).

How well did you know this?
1
Not at all
2
3
4
5
Perfectly
15
Q

Explain the concept of a Poisson process and its significance in physics.

A
  • A Poisson process models the occurrence of rare, independent events over time or space.
  • It is characterized by a constant average rate (λ) and can be used to describe phenomena such as radioactive decay, photon arrival times, and traffic flow.

Understanding Poisson processes is crucial in statistical physics, especially in dealing with systems where events occur randomly but with a known average rate.

How well did you know this?
1
Not at all
2
3
4
5
Perfectly
16
Q

Identify one assumption critical to the application of the chi-square test for goodness of fit.

A

The expected frequency for each category should be at least 5.

This ensures that the sampling distribution of the chi-square test statistic closely follows the chi-square distribution, allowing for accurate p-value computation. Small expected frequencies can lead to inaccurate results.

How well did you know this?
1
Not at all
2
3
4
5
Perfectly
17
Q

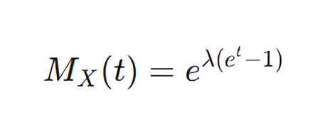
Fill in the blank:

The moment-generating function of a Poisson random variable is given by ______.

A

Here, λ is the average value (or variance) of the Poisson variable.

The moment-generating function is a powerful tool for deriving moments and understanding the distribution’s characteristics. It highlights the exponential nature of the Poisson process.

How well did you know this?
1
Not at all
2
3
4
5
Perfectly
18
Q

True or False:

In hypothesis testing, a Type I error occurs when a true null hypothesis is rejected.

A

True

A Type I error, also known as a false positive, occurs when the test incorrectly indicates the presence of an effect (rejecting the null hypothesis) when there is none.

For example, you are looking for the existence of a new particle. The null hypothesis is that the particle does exist. If you now mistakenly conclude that the particle does exist, this is a type I error.

How well did you know this?
1
Not at all
2
3
4
5
Perfectly
19
Q

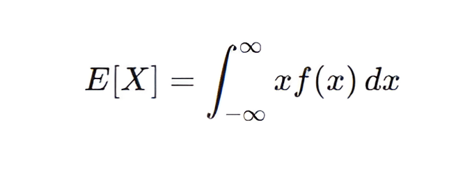
Derive the expression for the expected value of a continuous random variable defined by the probability density function ( f(x) ).

A
How well did you know this?
1
Not at all
2
3
4
5
Perfectly
20
Q

Given two normal random variables X and Y that are not independent of each other, define Z = X + Y.

What is the relationship between these average values?

Let μX, μY, and μZ be the average value.

A

This relationship is true even when the normal variables X and Y are not independent.

How well did you know this?
1
Not at all
2
3
4
5
Perfectly
21
Q

Identify the key advantages of using an operational amplifier (op-amp) in electronic circuits.

A
  • High input impedance and low output impedance.
  • High gain.
  • Wide range of analog functions.
  • Easy to use and integrate.

These features make op-amps critical components in analog electronics, facilitating tasks such as signal conditioning, filtering, and analog computation.

How well did you know this?
1
Not at all
2
3
4
5
Perfectly
22
Q

Discuss the principle of negative feedback in amplifiers and its effects on bandwidth and gain stability.

A
  • Negative feedback involves feeding a portion of the output signal back to the input in opposition to the input signal (that is, in the opposite phase).
  • It stabilizes gain by reducing the effect of component variations.
  • Negative feedback increases bandwidth by trading off some gain.
  • It reduces distortion and improves linearity of the amplifier.

While negative feedback can reduce overall gain, the trade-off leads to improved performance characteristics crucial in high-precision applications.

How well did you know this?
1
Not at all
2
3
4
5
Perfectly
23
Q

A non-inverting amplifier has input resistance R1 and feedback R2.

Derive its voltage gain.

A

Ideal op-amp approximation assumes infinite input impedance, zero output impedance, and infinite open-loop gain.

24
Q

Fill in the blank:

The ______ theorem states that any linear electrical network can be replaced by an equivalent circuit consisting of a single voltage source and series resistance connected to a load.

A

Thevenin’s

Thevenin’s theorem simplifies the analysis of complex circuits by reducing them to simpler equivalent circuits, making calculations of current and voltage much more feasible.

25
Why is **signal conditioning** necessary when interfacing a strain gauge or thermocouple with a digital acquisition system?
To **amplify, filter,** and **linearize** the sensor output. ## Footnote **Sensor signals** are often too weak, noisy, or not compatible with the DAQ's input requirements.
26
How does a **lock-in amplifier** extract a weak signal from a noisy background?
It multiplies the input by a reference at the **same frequency**. ## Footnote This shifts the signal of interest to DC and shifts noise to other frequencies. A low-pass filter then removes all the high frequencies, leaving the DC component that corresponds to the amplitude of the original input signal. Phase-sensitive detection (as done by a lock-in amplifier) dramatically improves signal-to-noise ratio when the signal is periodic.
27
What is the role of **triggering** in an oscilloscope measurement?
It stabilizes the **waveform display** by syncing the sweep to a specific signal condition (typically a voltage threshold). ## Footnote Proper triggering allows repetitive signals to be visualized clearly, essential for time-domain diagnostics.
28
Explain the significance of the **Nyquist criterion** in determining the stability of a feedback system.
It provides a **graphical method** to determine the stability of a feedback control system using its open-loop frequency response ## Footnote * It involves plotting the Nyquist plot of the open-loop transfer function and examining its encirclement of the critical point (-1, 0) in the complex plane. * The number of unstable closed-loop poles (Z) is equal to the number of unstable open-loop poles (P) plus the number of encirclements (N). For stability, Z = 0. So N = -P. The Nyquist criterion is fundamental in control theory for ensuring system stability, particularly in systems with complex feedback loops.
29
What is the **Nyquist sampling rate**?
It is the **minimum rate at which a continuous signal must be sampled** to accurately reconstruct it without introducing aliasing. ## Footnote Aliasing is when high-frequency components get misrepresented as lower frequencies, thereby distorting the signal. The Nyquist sampling rate is equal to twice the highest frequency component present in the signal. This rate is a fundamental concept in signal processing.
30
What are the main challenges in designing a **high-frequency RF amplifier**?
* Minimizing parasitic elements such as stray inductance and capacitance. These can degrade performance at high frequencies. * Managing thermal effects due to power dissipation, which can impact reliability and gain stability. * Ensuring linearity to reduce distortion and maintain signal fidelity. * Stabilizing gain across a wide frequency range to maintain consistent performance. * Mitigating electromagnetic interference (EMI) and addressing signal integrity issues through careful layout, shielding, and filtering. ## Footnote These challenges require careful component selection and circuit layout design to maintain performance at high frequencies, often necessitating advanced techniques such as impedance matching and shielding.
31
List the main types of **radiation detectors** used in experiments.
* Gas-filled detectors * Scintillation detectors * Semiconductor detectors * Neutron detectors * Calorimeters ## Footnote Gas-filled detectors include Geiger-Müller counters, proportional counters, and ionization chambers. These generally work on the basis of ionization or light emission.
32
Explain how a **Geiger-Müller** counter detects **ionizing radiation** and describe its limitations.
* It uses a gas-filled tube, where radiation ionizes the gas, creating electron-ion pairs. * A high voltage applied across the tube causes these electrons to accelerate towards the anode, creating an avalanche effect, resulting in a measurable current pulse. * The pulse is counted electronically. Each pulse corresponds to a single detection event. * Limitations: cannot distinguish between types of radiation (alpha, beta, gamma); cannot measure the energy of the radiation; there is a 'dead time' between the events; less sensitive to low-energy gamma rays. ## Footnote The limitations are: * Cannot distinguish between types of radiation (alpha, beta, gamma) * Cannot measure the energy of the radiation * There is a 'dead time' between the events * Less sensitive to low-energy gamma rays The Geiger-Müller counter is effective for general radiation detection but lacks energy discrimination and type specificity.
33
What is the expression for the efficiency of a **scintillation detector**?
## Footnote ϵ is the detection efficiency. Affected by geometry, scintillator material, photodetector sensitivity, and energy threshold effects.
34
# True or False: In a **semiconductor detector**, the band gap energy must be smaller than the energy of the radiation being detected for effective operation.
True ## Footnote The radiation must have sufficient energy to excite electrons across the **band gap** to generate charge carriers, which are then collected to produce a signal.
35
Identify the key assumptions made in the operation of a **proportional counter.**
* The primary ionization is proportional to the energy deposited in the gas in the counter. * The applied voltage is sufficiently high to cause electron multiplication, but low enough to prevent continuous discharge. The total charge collected is proportional to the initial ionization. * For consistent amplification, the electric field must be stable and well-defined. * The radiation is assumed to interact within the active volume of the detector, and the geometry is such that all interactions are effectively detected. ## Footnote Proportional counters are able to provide **information about the energy of the incident radiation**, unlike Geiger-Müller counters.
36
Describe the working principle of a **cloud chamber** and its application in radiation detection.
* It is a sealed environment containing supersaturated vapor. * Radiation passing through ionizes the vapor, providing nucleation sites for droplet formation, which then become visible tracks. These tracks then allow identification of the type and behavior of the radiation. ## Footnote Cloud chambers are very useful for visual demonstrations.
37
# Fill in the blanks: In a **calorimeter detector**, the primary mechanism of radiation detection is the measurement of the \_\_\_\_\_\_ \_\_\_\_\_\_ \_\_\_\_\_\_.
energy deposited by the radiation ## Footnote Calorimeters measure the total energy deposited by radiation, often used in **high-energy** physics experiments to measure particle energies.
38
Explain the **Bethe-Bloch equation** and its significance in describing the energy loss of charged particles as they pass through matter.
* Describes the mean energy loss per unit path length for a charged particle. * Significant for understanding stopping power. * Depends on a number of factors (such as the particle's speed and charge and the material's atomic number). ## Footnote The Bethe-Bloch equation is crucial for predicting how particles like **protons and alpha** particles deposit energy in a medium, impacting applications in medical physics and radiation shielding.
39
# True or False: A **heavy charged particle** will experience less multiple **scattering** than a light charged particle as it **traverses a medium**.
True ## Footnote Heavy particles, due to their larger mass, are less **deflected by the Coulomb forces** from atomic nuclei, resulting in reduced angular deviation compared to lighter particles like electrons.
40
What is the relationship between **radiation length** and the **cross section** for **bremsstrahlung** in a material?
## Footnote Here X₀ is the radiation length, n is the number density of atoms in the material, and σ brem is the bremsstrahlung cross section. **Radiation length** is a key parameter in high-energy physics, characterizing the distance over which a high-energy electron loses most of its energy via bremsstrahlung.
41
# Fill in the blank: The **critical energy** for a material is the energy at which the energy loss due to **bremsstrahlung** is equal to the energy loss due to \_\_\_\_\_\_.
ionization ## Footnote Critical energy is a pivotal concept in radiation physics, marking the transition point in dominant energy loss mechanisms for electrons as they traverse a medium.
42
What is the **Fermi plateau** in the context of energy loss for fast charged particles in a medium?
* Represents the energy loss per unit length becoming nearly constant at relativistic speeds. * This plateau can be seen on the Bethe-Bloch curve. ## Footnote The Fermi plateau is crucial for understanding the energy deposition by ultra-relativistic particles, relevant in designing particle detectors and understanding cosmic ray interactions.
43
What physical conditions enable **laser emission**?
* Population inversion (requires an energy pumping mechanism) * Gain medium where stimulated emission takes place * Optical resonator (cavity) * Threshold condition must be met (gain due to stimulated emission must exceed the losses) ## Footnote The emitted laser light is coherent, monochromatic, and highly directional.
44
Explain the principle of **population inversion** and its necessity in laser operation.
* It occurs when the number of particles in an **excited state** exceeds the number in a lower energy state. * Without population inversion, absorption would dominate stimulated emission and we would not have a laser. ## Footnote Population inversion is generally achieved through optical pumping or electrical discharge, depending on the laser medium.
45
# True or False: In a **two-level laser system**, population inversion can be easily achieved.
False ## Footnote A two-level system cannot achieve population inversion because the **rates of absorption and stimulated emission are equal**, preventing a net gain of photons. Multi-level systems are used to circumvent this issue.
46
# Fill in the blank: The **coherence length of a laser** is inversely proportional to its \_\_\_\_\_\_ \_\_\_\_\_\_.
spectral linewidth ## Footnote Coherence length is a measure of the **distance over which the laser maintains a stable phase relationship**, which is critical for applications like holography and interferometry.
47
Discuss the significance of the **Fabry-Pérot interferometer** in laser technology.
* It acts as a spectral filter, selecting specific wavelengths from the broadband emission of the gain medium. * It can narrow the spectral linewidth of a laser, enhancing the coherence of the output. ## Footnote The Fabry-Pérot interferometer consists of two parallel mirrors that create multiple beam interference, leading to constructive interference at specific wavelengths.
48
What is the role of a **Q-switch** in laser systems?
* It temporarily stores energy in the gain medium by preventing laser oscillation. * Upon switching, it releases the stored energy in a short, intense pulse. * It is used to achieve **high peak power outputs** in pulsed lasers. ## Footnote Q-switching is crucial for applications requiring high-intensity laser pulses, such as material processing or medical procedures.
49
Describe how **Michelson interferometry** can be used to measure small displacements.
* It splits a light beam into two paths using a beam splitter. * The beams reflect off mirrors and recombine, producing an interference pattern. * Small displacements cause shifts in the **interference fringes** due to changes in the path lengths, which can be measured precisely. ## Footnote The sensitivity of a Michelson interferometer is determined by the wavelength of light used, making it ideal for measuring nanometer-scale displacements.
50
In a **Michelson interferometer**, what is the formula for **path difference** needed to observe constructive interference?
ΔL=mλ | (for an integer m) ## Footnote Interference occurs when the optical path difference is a multiple of the wavelength.
51
Identify and explain any assumptions made when using dimensional analysis for **problem-solving**.
* Physical laws are **dimensionally homogeneous** (that is, expressing the law as an equation, both sides must have the same dimensions). * All relevant variables are included in the analysis. * All quantities involved are assumed to be expressible using fundamental dimensions. ## Footnote Dimensional analysis assumes that the form of the physical law is consistent across all scales of the problem.
52
# True or False: **Dimensional analysis** can determine the **numerical coefficients** in physical laws.
False ## Footnote Dimensional analysis helps identify the form that a physical law might take but **cannot determine dimensionless constants** that require empirical or theoretical determination.
53
# Fill in the blank: **Dimensional analysis** can be employed to verify the dimensional \_\_\_\_\_\_ of **physical equations.**
consistency ## Footnote By checking if both sides of an equation have the same dimensions, one can ensure the equation is dimensionally consistent.
54
Explain how the **Buckingham Pi Theorem** is used in dimensional analysis to derive dimensionless parameters.
* Identify all the variables relevant to the problem. * Determine the **fundamental dimensions** (e.g., M, L, T) involved. * Count variables (n) and the fundamental dimensions (k). * Use algebraic combinations of the variables to form (n - k) dimensionless products. Each product is a product of variables raised to powers such that the overall dimensions cancel out. ## Footnote The Buckingham Pi Theorem simplifies complex physical problems by reducing the number of variables, allowing for the derivation of scaling laws or similarity solutions.
55
Derive the relationship between the **period of a simple pendulum** and its length using **dimensional analysis.**
## Footnote Assume the period ( T ) depends on length ( L ), gravitational acceleration ( g ), and mass ( m ). Mass does not influence the period in this model as it cancels out in dimensional terms.
56
Using dimensional analysis, derive the time t it takes for a **body to fall** a distance h under gravity g.
## Footnote Only dimensions of length and acceleration are involved; proportionality constant found through exact derivation.