Quantum Mechanics Flashcards

Solve the Schrödinger equation for fundamental systems and explain key quantum phenomena including angular momentum and perturbations. (69 cards)

1
Q

Define the Heisenberg Uncertainty Principle and explain its significance in quantum mechanics.

A
  • In the context of position and momentum, the principle states that it is impossible to simultaneously know the exact position and momentum of a particle.
  • Mathematically, it is expressed as:
    Δx Δp ≥ ħ/2, where Δx is the uncertainty in position, Δp is the uncertainty in momentum, and ħ is the reduced Planck constant.
  • For two arbitrary observables A and B, the uncertainty principle can be written in terms of their commutator, namely, ΔA ΔB ≥ ½ |⟨[A, B]⟩|.

It implies inherent limitations in measurement, challenging classical determinism and underscoring the probabilistic nature of quantum mechanics.

How well did you know this?
1
Not at all
2
3
4
5
Perfectly
2
Q

What are the key postulates of quantum mechanics?

A
  • The state of a quantum system is described by a vector that lives in a Hilbert space.
  • Observables are represented by Hermitian operators, with measurement results given by the eigenvalues and the post-measurement states by the eigenstates.
  • If the state is |ψ⟩, then the probability of measuring the eigenvalue aₙ of observable A is p(aₙ) = |⟨aₙ|ψ⟩|². This is Born’s postulate.
  • The evolution of a quantum state is governed by the time-dependent Schrödinger equation.

These postulates introduce superposition, probabilistic interpretation of measurement, and time evolution of the quantum state.

How well did you know this?
1
Not at all
2
3
4
5
Perfectly
3
Q

True or False:

The superposition principle allows a quantum system to exist in multiple states simultaneously until a measurement is made.

A

True

The superposition principle states that a system can exist in a linear combination of eigenstates until measurement collapses the state.

Superposition arises because quantum states live in a Hilbert space.

How well did you know this?
1
Not at all
2
3
4
5
Perfectly
4
Q

Explain the concept of wave-particle duality.

A

Wave-particle duality posits that particles such as electrons exhibit both wave-like and particle-like properties.

The double-slit experiment demonstrates interference patterns typical of waves, yet individual particle impacts are observed on the detector.

Whether we see the wave nature or the particle nature depends on what we are looking for.

How well did you know this?
1
Not at all
2
3
4
5
Perfectly
5
Q

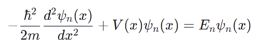
What is the time-independent Schrödinger equation for a particle moving in one-dimensional potential V(x)?

A

  • ħ is the reduced Planck constant
  • m is the particle’s mass
  • ψn(x) is the nth energy eigenfunction (in position space)
  • En is the corresponding energy

Note that this is the energy eigenvalue equation written in position space.

How well did you know this?
1
Not at all
2
3
4
5
Perfectly
6
Q

Identify the differences between fermions and bosons within the context of quantum mechanics.

A
  • Fermions: Particles that follow Fermi-Dirac statistics and have half-integer spins. They obey the Pauli exclusion principle. The state of two fermions must be antisymmetric under particle exchange.
  • Bosons: Particles that follow Bose-Einstein statistics and have integer spins. They can occupy the same quantum state. The state of two bosons must be symmetric under particle exchange.
How well did you know this?
1
Not at all
2
3
4
5
Perfectly
7
Q

What is the significance of commutation relations in quantum mechanics?

A
  • Commutation relations determine whether two observables can be simultaneously measured with arbitrary precision.
  • If two observables commute, [A, B] = 0, they share a common set of eigenstates and can be simultaneously measured.

The commutator of an observable A with the Hamiltonian H also governs the rate of change of the expectation value of A. Symmetries are also studied via commutation relations. We have a symmetry if the unitary transformation corresponding to the symmetry commutes with the Hamiltonian.

How well did you know this?
1
Not at all
2
3
4
5
Perfectly
8
Q

True or False:

Consider three operators A, B, and C.

If A commutes with B, and B commutes with C, then A commutes with C.

A

False

For example, consider the angular momentum operators, A = Lz, B = L2, and C = Lx. Then [A,B] = [B,C] = 0, but [A,C] is not zero.

We are not dealing with a transitive property here.

How well did you know this?
1
Not at all
2
3
4
5
Perfectly
9
Q

Fill in the blank:

In quantum mechanics, the probability density associated with a wave function (ψ(x)) is given by the equation ______.

A

The probability density ( |ψ(x)|² ) gives the probability of finding the particle, whose wavefunction is ψ(x)) between x and x + dx as |ψ(x)|² dx.

How well did you know this?
1
Not at all
2
3
4
5
Perfectly
10
Q

Analyze the role of potential energy barriers in quantum tunneling.

A

Quantum tunneling allows particles to pass through potential energy barriers higher than their kinetic energy.

It arises from the wave-like nature of particles. A particle will bounce off such a barrier, but a wave can penetrate the barrier.

This permits non-zero probability amplitudes on the other side of the barrier.

How well did you know this?
1
Not at all
2
3
4
5
Perfectly
11
Q

Explain the concept of quantum entanglement.

A

Entanglement is a quantum phenomenon where the quantum states of two or more particles become interdependent, regardless of the distance between them.

This happens when the state of the two particles cannot be written as the tensor product of states of the individual particles.

Measurements on one particle instantly affect the state of the other, challenging classical notions of locality and separability.

How well did you know this?
1
Not at all
2
3
4
5
Perfectly
12
Q

True or False:

The expectation value of an observable in quantum mechanics is always one of its eigenvalues.

A

False

The expectation value is a weighted average of all possible measurement outcomes (eigenvalues), based on their probabilities in a given quantum state. It is not necessarily equal to any single eigenvalue unless the system is in a definite eigenstate.

Only if the system is in an eigenstate of the operator A will the expectation value equal the corresponding eigenvalue.

Otherwise, the result is a weighted average of multiple eigenvalues and is generally not itself an eigenvalue. If the system is

How well did you know this?
1
Not at all
2
3
4
5
Perfectly
13
Q

What is the Born rule and how does it relate to quantum measurements?

A

The Born rule states that the probability of obtaining a particular measurement outcome is equal to the absolute value squared of the amplitude of the corresponding eigenstate.

It fundamentally connects the mathematical formalism of quantum mechanics with experimental observations. Remember that the measurement outcomes are given by the eigenvalues.

How well did you know this?
1
Not at all
2
3
4
5
Perfectly
14
Q

Explain the concept of a Hilbert space in quantum mechanics.

A

A Hilbert space is a complete vector space with an inner product, providing the framework for quantum states.

It allows for the representation and manipulation of wave functions, facilitating the application of linear algebra in quantum mechanics.

Superposition, which is an experimental fact, necessitates the use of a vector space. Using a ‘complete’ vector space ensures that there are no ‘holes’ in the vector space. Finally, the presence of the inner product ensures that we can calculate probabilities via the Born rule.

How well did you know this?
1
Not at all
2
3
4
5
Perfectly
15
Q

What happens to a quantum state when we perform an ideal projective measurement?

A

The measurement collapses the state to an eigenstate of the measured observable, the eigenstate corresponding to the measurement result obtained (the eigenvalue).

This makes sense because if we perform a second measurement of the same observable right after the right measurement, with probability one we should get the same measurement result.

How well did you know this?
1
Not at all
2
3
4
5
Perfectly
16
Q

Fill in the blanks:

The eigenvalues of the Hamiltonian operator correspond to the ______ ______ of the quantum system.

A

energy levels

The Hamiltonian in quantum mechanics has a dual role. The Hamiltonian operator governs the time evolution of a quantum system, and its eigenvalues represent the quantized energy levels accessible to the system.

How well did you know this?
1
Not at all
2
3
4
5
Perfectly
17
Q

What is the time-independent Schrödinger equation for a particle in a one-dimensional infinite potential well?

Explain the boundary conditions that need to be imposed.

A
  • Consider a potential V(x) defined as 0 for 0 < x < a and infinity elsewhere. The particle can then not be found outside the region 0 < x < a, so we only need to solve the Schrodinger equation in this region.
  • The time-independent Schrödinger equation is -ħ²/2m d²ψ(x)/dx² = Eψ(x). This has sinusoidal solutions.
  • The boundary conditions that need to be imposed are ψ(0) = ψ(a) = 0. This ensures that the wavefunction is continuous, since the wavefunction (and hence the probability density) outside the region 0 < x < a is zero.

The boundary conditions arise from the requirement that the wavefunction must vanish at the walls of the infinite potential well (which follows from the requirement that the wavefunction is continuous).

How well did you know this?
1
Not at all
2
3
4
5
Perfectly
18
Q

Why are the energy levels of a particle in a one-dimensional infinite potential well quantized?

A

The wavefunction must be zero at the boundaries of the well, so only standing wave solutions with specific wavelengths are allowed.

This leads to discrete (quantized) values of momentum and energy.

The boundary conditions force the wavefunction to be sinusoidal with nodes at the walls.

Only integer multiples of half-wavelengths fit exactly in the well, restricting the allowed energies.

How well did you know this?
1
Not at all
2
3
4
5
Perfectly
19
Q

True or False:

Consider the bound state of a particle in a one-dimensional potential well. This bound state cannot be degenerate.

A

True

This follows from the mathematical structure of the one-dimensional time-independent Schrodinger equation (as well as the boundary condition that the wavefunction needs to vanish infinitely far away), which is an ordinary differential equation.

The same conclusion does not hold in two or three dimensions, since we are then dealing with a partial differential equation.

How well did you know this?
1
Not at all
2
3
4
5
Perfectly
20
Q

True or False:

In the harmonic oscillator potential, the spacing between adjacent energy levels is constant.

A

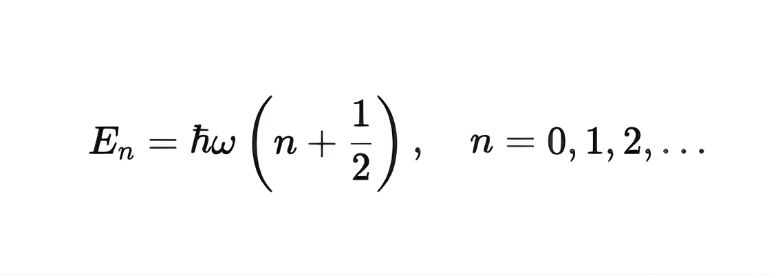
True

n is a non-negative integer, which leads to constant spacing ħω.

How well did you know this?
1
Not at all
2
3
4
5
Perfectly
21
Q

What is the significance of the zero-point energy in the quantum harmonic oscillator?

A
  • The ground state energy is called the zero-point energy.
  • It demonstrates that even in the lowest energy state, the oscillator possesses non-zero energy.

Zero-point energy arises due to the Heisenberg uncertainty principle. If the kinetic energy was zero, we would precisely know the position of the particle.

Therefore, the average kinetic energy would not be zero. That means that since the particle is moving in a potential well, the average potential energy would also not be zero.

How well did you know this?
1
Not at all
2
3
4
5
Perfectly
22
Q

Fill in the blank:

The probability density for finding a particle in the ground state of a one-dimensional quantum harmonic oscillator is highest at the _____ or minimum of the potential.

A

center

The ground state wavefunction ψ0(x) is a Gaussian, centered at the potential minimum (which is at the center of the potential, typically chosen to be x = 0), leading to the highest probability density at the center.

How well did you know this?
1
Not at all
2
3
4
5
Perfectly
23
Q

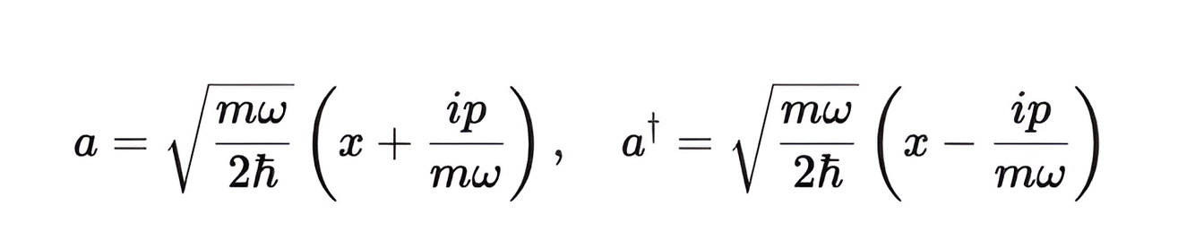
What are the creation and annihilation (raising and lowering) operators for the 1D quantum harmonic oscillator?

A
How well did you know this?
1
Not at all
2
3
4
5
Perfectly
24
Q

For the quantum harmonic oscillator, what is [N,a] and [N,a] where N = aa is the number operator?

A

[N,a] = -a
[N,a] = a

  • Use [AB,C] = A[B,C] + [A,C]B
  • Use [a,a] = 1

These relations are essential in interpreting the operators a and a
and lowering and raising operators.

How well did you know this?
1
Not at all
2
3
4
5
Perfectly
25
# True or False: For the **quantum harmonic oscillator**, we can find eigenstates of the raising operator a.
False ## Footnote If such an eigenstate |ψ⟩ exists, a |ψ⟩ = λ|ψ⟩. We can write |ψ⟩ as a linear combination of the number states. Using this in the eigenvalue equation, we find that the left hand side will not contain the ground state |0⟩, while the right hand side will. Therefore, the two sides cannot be equal. The lowering (or annihilation) operator does have eigenstates. These states are called coherent states and play a very important role in quantum optics.
26
Describe the concept of **degeneracy in the context of the hydrogen** atom energy levels.
* It refers to **multiple quantum states having the same energy**. * For hydrogen, energy levels depend only on the principal quantum number n, leading to degeneracy in l, ml and ms quantum numbers. ## Footnote The degree of degeneracy for a given n is (2n^2), accounting for all combinations of l, ml and ms that produce the same energy.
27
What potential energy is used in the **Schrödinger equation for hydrogenic atoms**?
The potential energy is assumed to be **Coulombic**. ## Footnote This simplifies the problem to a central force problem, allowing separation of variables in spherical coordinates. Note that the solutions obtained ignore relativistic effects.
28
Explain the physical significance of the **quantum number (l) in the hydrogen atom.**
Knowing l for a state means that the state has a **well-defined total orbital angular momentum**. ## Footnote l also tells us something about which spherical harmonic goes into writing the state. In this way, (l) determines the shape of the electron's probability distribution. For example, l = 0 states have a spherical probability distribution. l takes on values l = 0, 1, 2, 3, ..., n - 1. (l) influences the angular part of the wavefunction but not directly the energy levels in the hydrogen atom due to degeneracy. This degeneracy is due to the 1/r potential. In alkali atoms, the effective potential that the valence electron sees is not proportional to 1/r due to shielding effects - the energy levels then do depend on l.
29
# True or False: In a spherically symmetric potential, the wavefunction can be expressed as a product of **radial and angular components.**
True ## Footnote In such potentials, the Schrödinger equation allows separation of variables into radial and spherical harmonics components, simplifying the solution process. This can also be seen as a consequence of rotational symmetry.
30
# Fill in the blanks: The angular momentum of a particle in a **central potential** is conserved because the potential is \_\_\_\_\_\_ \_\_\_\_\_\_.
spherically symmetric ## Footnote This implies that the system has rotational invariance, leading to conservation of angular momentum.
31
What is the significance of the **normalization condition** for wavefunctions in quantum mechanics?
Ensures the total **probability of finding the particle over all space is 1.** ## Footnote The normalization condition is crucial for the probabilistic interpretation of quantum mechanics. This is what allows the interpretation of |ψ(x)|2 as a probability density.
32
Describe the role of **boundary conditions in solving the Schrödinger equation** for the bound states in a one-dimensional **finite potential well.**
* The Schrodinger equation needs to be solved in three regions now: to the left of the well, within the well, and to the right of the well. * The solutions need to satisfy the requirement that the wavefunction does not blow up when infinitely far away from the well. * The wavefunctions also need to be continuous at the walls of the potential well. Moreover, the first derivative of the wavefunctions also needs to be continuous. * These requirements lead to a discrete set of energy levels with the corresponding discrete set of energy eigenfunctions. ## Footnote For a finite well, the energy eigenfunctions are sinusoidal inside the well and exponentially decaying outside. They are continuous and their first derivative is also continuous.
33
State the form of the **potential energy in a 3D isotropic quantum harmonic oscillator**. What are the energy levels?
## Footnote The isotropic three-dimensional harmonic oscillator can be thought of as being composed of three independent one-dimensional harmonic oscillators. Note that the energy levels are degenerate. There are many different nx, ny, and nz that give the same n, but due to the different nx, ny, and nz, the quantum state is different. Degeneracy is expected here due to the rotational symmetry. If H is the Hamiltonian, and we have [H, A] = [H, B] = 0 but [A, B] does not equal 0, then we will have degeneracy. Here, A = Lz and B = Lx satisfy these requirements.
34
Explain how the **radial wavefunction of the hydrogen atom changes** with increasing principal quantum number (n).
The radial wavefunction becomes more **spread out**, with the average radial distance increasing with n. ## Footnote This is expected since increasing n increases the energy, and corresponds to what we expect from the Bohr model. The number of nodes that we can have also increases, since the number of nodes for the radial wavefunction is given by n - l - 1 (the number of angular nodes is l, so the total number of nodes is n - 1). Higher (n) leads to larger orbits, reflecting the increased average potential energy and radial expectation values.
35
What is the physical interpretation of the **wavefunction's phase** in quantum mechanics?
* The **overall global phase does not affect measurable quantities directly**. This phase disappears when calculating measurement probabilities. * However, relative phases can impact interference and superposition states. ## Footnote In particular, consider a two-level system with basis states |0⟩ and |1⟩. Take two quantum states to be |ψ₁⟩ = (1/√2) (|0⟩ + |1⟩) and |ψ₂⟩ = 1/√2 (|0⟩ - |1⟩). These two states are physically distinguishable by measuring the observable σₓ = |0⟩⟨1| + |1⟩⟨0| - |ψ₁⟩ is an eigenstate of this operator (with eigenvalue +1) while |ψ₂⟩ is an eigenstate of this operator with eigenvalue -1. While the **absolute phase is not observable**, the relative phase is crucial in quantum interference phenomena.
36
# True or False: The bound state **energy levels** of a particle in a finite potential well are always less than the potential height.
True ## Footnote Due to the finite potential barrier, bound states have energy levels below the potential height, allowing the particle to remain confined. If the energy of the particle is greater than the potential height, then the particle can escape (we are then dealing with scattering states).
37
Describe how the concept of **parity** is used to classify the **energy eigenfunctions** in quantum mechanics.
If the Hamiltonian of a system is invariant under parity (that is, inversion), then **the energy eigenfunctions will also be eigenfunctions of the parity operator**. They will have eigenvalues (for the parity operator) +1 (even) or -1 (odd). ## Footnote For example, the usual Hamiltonian for hydrogen is invariant under parity. The energy eigenfunctions then have well-defined parity. In fact, the energy eigenstate |n, l, mₗ⟩ has parity (−1)ˡ. For one-dimensional problems, if the potential V(x) is an even function, then the energy eigenfunctions will be either even or odd.
38
A particle is in a state with **total angular momentum l=2**. What are the possible outcomes of a measurement of Lz?
## Footnote m goes in integer steps from -ℓ all the way to +ℓ
39
Explain how the **Stern-Gerlach experiment** demonstrates the quantization of spin angular momentum.
Silver atoms passing through a non-uniform magnetic field **split into two distinct paths**, not a continuous spread. This shows their **spin has only two possible values**, proving that spin is quantized. ## Footnote The discrete deflection is due to the intrinsic angular momentum (spin) having only specific allowed orientations.
40
What are the **commutation relations for angular momentum operators**?
## Footnote These can be derived by considering angular momentum as the generator of rotations, and then using the fact that the order of rotations matters (this is true even in classical physics). One of the implications of the commutation relations is that components of angular momentum cannot be simultaneously known with arbitrary precision.
41
# True or False: The **spin quantum** number for an electron is an integer.
False ## Footnote The spin quantum number for an electron is s = 1/2.
42
# Fill in the blank: The **eigenvalues** of the Sz operator for a spin-(1/2) particle are \_\_\_\_\_\_.
## Footnote These values correspond to the two possible spin states, "spin up" and "spin down," along the z-axis.
43
What is the significance of the **Clebsch-Gordan coefficients** in the context of angular momentum?
They **relate the uncoupled basis** (individual angular momenta) **to the coupled basis** (total angular momentum) when combining two angular momenta. ## Footnote They are essential for calculating transition amplitudes in atomic systems. For example, they are used with the Wigner-Eckart theorem.
44
Outline the differences between **orbital and spin angular momentum.**
* **Orbital Angular Momentum**: Arises from particle motion around a point. It is quantized by non-negative integer values of \( l \). We can write down the orbital angular momentum eigenstates in position space (these are the spherical harmonics). * **Spin Angular Momentum**: Intrinsic property of particles. It is quantized by non-negative half-integer or integer values of \( s \). Spin lives in its own Hilbert space. ## Footnote Orbital momentum depends on position and momentum; spin is an internal quantum property present even at rest.
45
How does the expectation value of the spin angular momentum ⟨**S**⟩ evolve in the presence of a constant magnetic field? ## Footnote Assume zero orbital angular momentum.
The expectation value of the spin angular momentum ⟨**S**⟩ precesses around the magnetic field. ## Footnote The magnetic moment is proportional to the spin angular momentum, and the rate of change of the angular momentum is the torque, which is the cross product of the magnetic moment and the magnetic field. Precession affects phenomena like nuclear magnetic resonance (NMR) and electron paramagnetic resonance (EPR).
46
What is the **magnetic moment associated with the spin of an electron**?
## Footnote gₛ is the g-factor, approximately 2 for electrons The electron is a charged particle that carries angular momentum. It is expected, therefore, that there is an associated magnetic moment.
47
Analyze the relationship between **angular momentum and rotational symmetry** in physical systems.
Rotational symmetry implies **conservation of angular momentum.** ## Footnote Noether's theorem directly relates symmetries to conservation laws.
48
Two particles each have spin-1/2. What are the possible **total spin quantum numbers**, and how many states correspond to each?
Total spin: * S=1 (triplet, 3 states) * S=0 (singlet, 1 state) ## Footnote When it comes to adding angular momenta j1 and j2, the rule is that the possible values of the total angular momentum quantum number are j1 + j2, j1 +j2 - 1..., |j1 -j2|. For each j, the corresponding values of mj are from -j, -j + 1, ..., j.
49
A spin-1/2 particle is in quantum state |0⟩, an eigenstate of σz with eigenvalue +1. If we measure the operator −i|0⟩⟨1| + i|1⟩⟨0|, **what are the possible outcomes and their probabilities?**
* The operator is σy, which has eigenvalues +1 and -1. * The probabilities of measuring each are both 1/2. ## Footnote Probabilities are found using the Born rule and the fact that |0 is an equal superposition of the σy eigenstates.
50
Why must the wave functions of **identical fermions** be **antisymmetric** under particle exchange?
Due to the **symmetrization postulate**: identical fermions must have antisymmetric wavefunctions, which leads to the Pauli exclusion principle. **No two fermions can share the same quantum state.** ## Footnote This behavior is tied to the spin-statistics theorem: particles with half-integer spin are fermions and obey Fermi-Dirac statistics.
51
# True or False: The antisymmetry requirement for fermionic wave functions violates the **superposition principle** of quantum mechanics.
False ## Footnote The superposition principle still holds. The physical state of a system of identical fermions must be antisymmetric. We can still form superpositions of such antisymmetric states - the superposition state will also be antisymmetric.
52
# Fill in the blank: The **wave functions** of identical bosons must be \_\_\_\_\_\_\_\_ under particle exchange.
symmetric ## Footnote This follows from the symmetrization postulate. This exchange symmetry is what allows bosons to occupy the same quantum state, leading to the phenomenon of Bose-Einstein condensation under appropriate conditions.
53
What is the state of two identical bosons if one of them is in the state |ϕ⟩ and the other is in state |χ⟩, assuming that |ϕ⟩ is orthogonal to |χ⟩?
## Footnote This form ensures symmetry under the exchange of particles and satisfies the indistinguishability condition of quantum particles.
54
What is the fundamental difference in the **statistical distribution of identical fermions and bosons?**
* Fermions follow **Fermi-Dirac statistics**, characterized by the Fermi-Dirac distribution. * Bosons follow **Bose-Einstein statistics**, characterized by the Bose-Einstein distribution. ## Footnote The difference arises from the difference under particle exchange. This seemingly small difference has profound implications in fields like solid-state physics and quantum optics.
55
How does the symmetrization postulate relate to the **exchange interaction**?
* Two fermions must have an antisymmetric total state, so the symmetry of their spin state affects their spatial separation. * This leads to the exchange interaction, **where interaction energy depends on spin configuration**, even without direct spin-spin forces. ## Footnote The exchange interaction is a non-classical effect that cannot be explained by electrostatic interactions alone.
56
Explain the role of **permutation operators** in determining the symmetry of a multi-particle wave function.
* They **exchange the quantum states** of individual particles in a quantum many-particle state. * For fermions, the application of any two-particle permutation operator introduces a negative sign, indicating an antisymmetric quantum state. * For bosons, the quantum state remains unchanged under such two-particle permutations, indicating a symmetric quantum state. ## Footnote These operators can help in formulating the correct wave functions for systems of identical particles.
57
Explain how **time-independent perturbation theory** is applied to a non-degenerate quantum system.
* Start with an unperturbed Hamiltonian ( H0) with known eigenstates and eigenvalues: 𝐻₀ |𝐸ₙ⁽⁰⁾⟩ = 𝐸ₙ⁽⁰⁾ |𝐸ₙ⁽⁰⁾⟩ * Introduce a small perturbation ( H' ) such that the total Hamiltonian is ( H = H0 + λH' ), where λ is a small parameter. * Write the eigenvalues and eigenstates of the total Hamiltonian as power series in λ: |𝐸ₙ⟩ = |𝐸ₙ⁽⁰⁾⟩ + λ |𝐸ₙ⁽¹⁾⟩ + λ² |𝐸ₙ⁽²⁾⟩ + ⋯ 𝐸ₙ = 𝐸ₙ⁽⁰⁾ + λ𝐸ₙ⁽¹⁾ + λ²𝐸ₙ⁽²⁾ + ⋯ * Plug these in H|𝐸ₙ⟩ = 𝐸ₙ |𝐸ₙ⟩. * Match like powers of λ * Then take inner product with ⟨𝐸ₙ⁽⁰⁾|and simplify. ## Footnote For the correction to the state, expand the state in terms of the unperturbed eigenstates and find the expansion coefficients. λ is a dimensionless parameter introduced to control the strength of the perturbation. It is typically set to one at the end of calculations, but is kept symbolically small during expansions to track the order of approximation.
58
In a **degenerate perturbation scenario**, how does one determine the correct set of states to use for **calculating first-order energy corrections**?
One diagonalizes the perturbation Hamiltonian within the degenerate subspace of the unperturbed Hamiltonian. The eigenstates of this matrix form the correct basis for calculating first-order energy shifts (they are the 'good states'). The eigenvalues are the energy shifts. ## Footnote This avoids divergences and ensures proper splitting of degenerate levels. One can often find the correct basis by symmetry considerations (rather than first constructing the matrix and diagonalizing it. On this basis, the perturbation Hamiltonian within the degenerate subspace is diagonal, simplifying the calculation of energy shifts.
59
What is the **first-order correction** to the energy for a non-degenerate state in time-independent perturbation theory?
The first-order energy correction is given by the **expectation value** of the perturbation Hamiltonian in the corresponding unperturbed state. ## Footnote This expression can also be used to calculate the first-order energy correction even when there is degeneracy - the catch is that we must be using the 'good states'.
60
What **assumption** must hold for the validity of using time-independent perturbation theory?
The perturbation Hamiltonian H' must be **small** compared to the unperturbed Hamiltonian H0. ## Footnote What this means is that the perturbation causes only a small amount of 'mixing' between the unperturbed eigenstates. Mathematically, this means |⟨m|𝐻′|n⟩| ≪ |𝐸ₙ⁽⁰⁾ − 𝐸ₘ⁽⁰⁾|. Here, |n⟩ and |m⟩ are eigenstates of the unperturbed Hamiltonian with eigenvalues 𝐸ₙ⁽⁰⁾ and 𝐸ₘ⁽⁰⁾. This condition is clear if one looks at the first-order correction to the energy eigenstates. If the perturbation is weak, this correction should be small.
61
What is the expression for the **second-order energy correction** in non-degenerate perturbation theory?
## Footnote This follows from power series expansions for the energy eigenstates and the energy eigenvalues.
62
For a time-dependent Hamiltonian, why is finding the **time-evolution of a quantum state** generally a very hard problem?
The Hamiltonian at different times **does not commute** and is an operator. ## Footnote This means that finding the unitary time-evolution operator is not simple. Only in a few special cases can this be found analytically. We generally have to resort to either using time-dependent perturbation theory, or using numerical methods.
63
A two-level system starts at |ψ(0)⟩ = 1/√2 (|0⟩ + |1⟩), with Hamiltonian H = (ħω 0/2)σz. **What is the expectation value of σₓ at time t?**
⟨σₓ⟩(t) =cos(ω₀t). ## Footnote The time-evolved state is obtained by acting the time-evolution operator on the initial state.
64
How does **time-dependent perturbation theory** help calculate transition probabilities between quantum states?
## Footnote * ∣ϕ n⟩ are eigenstates of H0 * Using the Schrödinger equation and assuming a weak perturbation H', solve for time-dependent coefficient cn(t). * The squared magnitude gives the transition probability to state ∣ϕ n⟩. This can also be derived using the Dyson series, a perturbative expansion of the time-evolution operator.
65
# Fill in the blank: In the context of time evolution in quantum mechanics, the term 'adiabatic' refers to changes that are \_\_\_\_\_ compared to the system's natural timescales.
slow ## Footnote The adiabatic theorem says that if we have a time-dependent Hamiltonian H(t), and our initial state is in the nth eigenstate of H(0), then if the Hamiltonian is changed slowly, at time t the state of our system is the nth eigenstate of H(t).
66
How does the **variational principle** help us to find approximately the ground state energy of a Hamiltonian we cannot diagonalize exactly?
* Given a Hamiltonian, the variational principle states that the energy of the ground state E0 satisfies the inequality ⟨ψ|H|ψ⟩ ≥ E0, for any state |ψ⟩. * We choose a trial wavefunction with adjustable parameters, then compute ⟨ψ|H|ψ⟩ and minimize it. * This minimum gives an upper bound on the true ground state energy. ## Footnote The better the trial wavefunction approximates the true ground state, the more accurate the energy estimate.
67
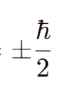
Consider two spin-1/2 particles in the singlet state. You measure the spin of the first particle to be ħ/2 in the z direction, and then you measure the spin of the second particle in the x direction. **What are the measurement results and their corresponding probabilities?**
* After the measurement of the first particle, the state of the second spin is spin down along z. * The measurement results then for this second spin are ħ/2 and -ħ/2, both with probability 1/2.
68
# Fill in the blanks: In the context of **blackbody radiation**, the quantization of energy was first proposed by \_\_\_\_\_\_\_\_ \_\_\_\_\_\_ to explain the ultraviolet catastrophe.
Max Planck ## Footnote Planck introduced the concept of **quantized energy levels** to reconcile theoretical predictions with experimental observations of blackbody radiation.
69
Discuss the significance of the **zero-point energy** in quantum systems.
* Zero-point energy is the **lowest possible energy** that a quantum mechanical system may have, and it can be non-zero due to the boundary conditions imposed on the energy eigenfunctions. * It implies that quantum systems exhibit **intrinsic fluctuations** even at absolute zero temperature. ## Footnote Zero-point energy is a consequence of the Heisenberg uncertainty principle, preventing a system from being completely at rest.