Derivation Flashcards

(60 cards)

1
Q

What is the gradient function?

A

The formula for the gradient of the tangent at any point (x)

How well did you know this?
1
Not at all
2
3
4
5
Perfectly
2
Q

What are some notations of the gradient function?

A
How well did you know this?
1
Not at all
2
3
4
5
Perfectly
3
Q

How is first principal’s derived?

A

Splitting it up into two points, with a distance of h (later made to be 0) and then finding tangent gradient

How well did you know this?
1
Not at all
2
3
4
5
Perfectly
4
Q

What is the first principles formula for the gradient of the tangent line?

A
How well did you know this?
1
Not at all
2
3
4
5
Perfectly
5
Q

What does this mean?

A

The limiting value (output ) as h tends towards 0

How well did you know this?
1
Not at all
2
3
4
5
Perfectly
6
Q
A
How well did you know this?
1
Not at all
2
3
4
5
Perfectly
7
Q
A
How well did you know this?
1
Not at all
2
3
4
5
Perfectly
8
Q
A
How well did you know this?
1
Not at all
2
3
4
5
Perfectly
9
Q

What does the derivative tell you ?

A

How quickly the gradient function is increasing/ decreasing at that point

How well did you know this?
1
Not at all
2
3
4
5
Perfectly
10
Q

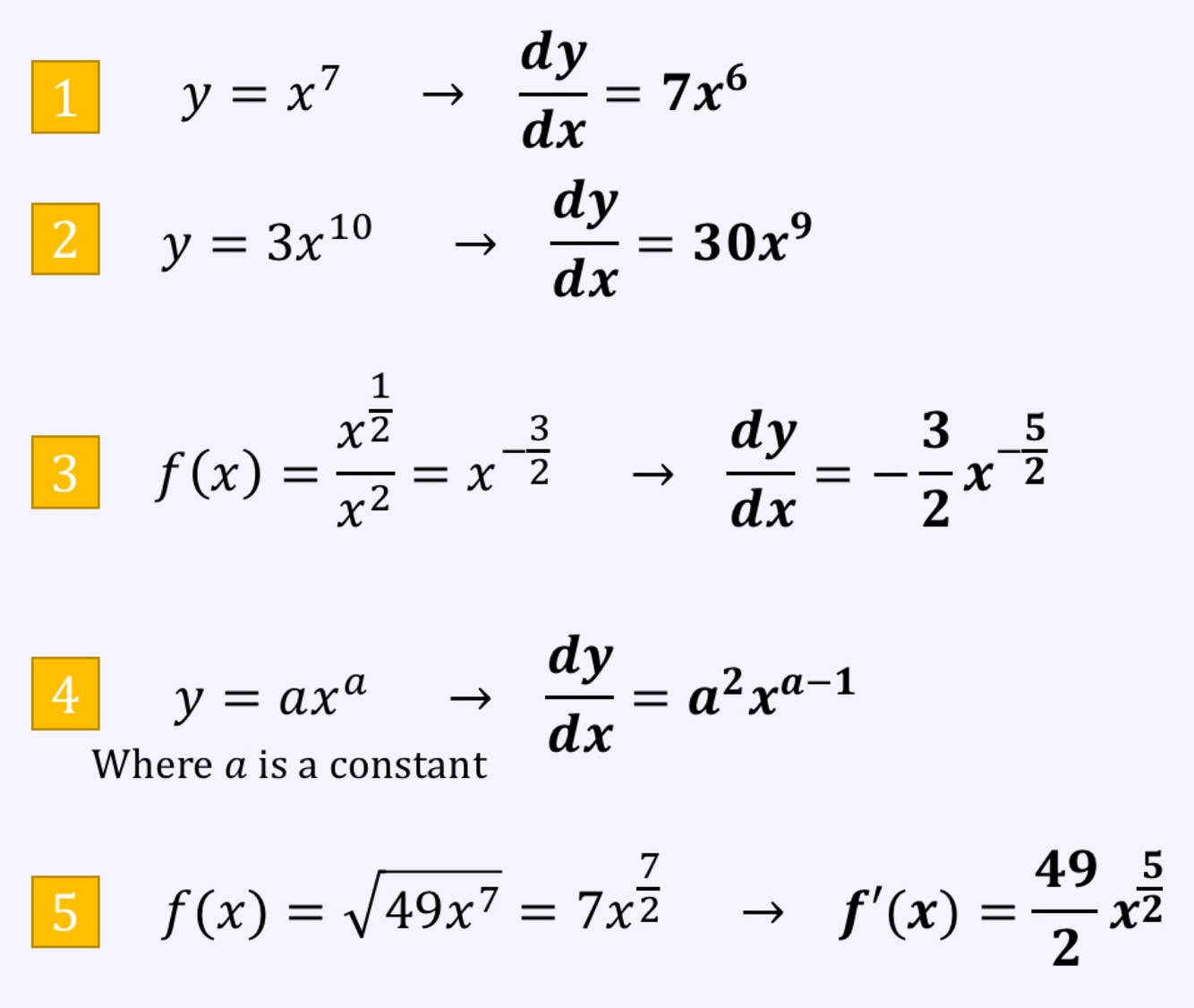
What is the quick way to differentiate when the base is x and the power is a constant ?

A
How well did you know this?
1
Not at all
2
3
4
5
Perfectly
11
Q

What is the derivative of a constant?

A

0

How well did you know this?
1
Not at all
2
3
4
5
Perfectly
12
Q
A
How well did you know this?
1
Not at all
2
3
4
5
Perfectly
13
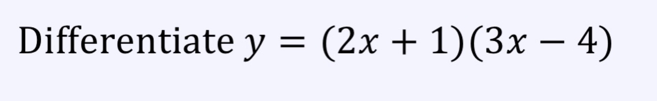
Q

Differentiate the equation

A
How well did you know this?
1
Not at all
2
3
4
5
Perfectly
14
Q

how would you manipulate given expressions into a sum of x ^n terms?

A
  1. turn roots into powers (fractions)
  2. split up into fractions
  3. Expand out brackets
  4. if x is in the denominator, write it as a negative power in the numerator
  5. Beware of numbers in denominators (don’t take co efficents of x up into numerator, leave down as a coefficent fraction
  6. if there are multiple brackets, expand the brackets
How well did you know this?
1
Not at all
2
3
4
5
Perfectly
15
Q
A
How well did you know this?
1
Not at all
2
3
4
5
Perfectly
16
Q
A
How well did you know this?
1
Not at all
2
3
4
5
Perfectly
17
Q
A
How well did you know this?
1
Not at all
2
3
4
5
Perfectly
18
Q

How would you find the equation of a tangent to the curve at a point?

A
  1. Differentiate the equation to get the gradient function
  2. Put x value into this gradient function =m
  3. Using m , y ,x firm an equation
How well did you know this?
1
Not at all
2
3
4
5
Perfectly
19
Q
A
How well did you know this?
1
Not at all
2
3
4
5
Perfectly
20
Q

What is a normal to the curve ?

A

The perpendicular line of the tangent at that point

How well did you know this?
1
Not at all
2
3
4
5
Perfectly
21
Q

What is the relationship between the tangent of a curve and the normal?

A
How well did you know this?
1
Not at all
2
3
4
5
Perfectly
22
Q
A
How well did you know this?
1
Not at all
2
3
4
5
Perfectly
23
Q
A
How well did you know this?
1
Not at all
2
3
4
5
Perfectly
24
Q
A
How well did you know this?
1
Not at all
2
3
4
5
Perfectly
25
26
What is an increasing function ?
A function where f ‘ (x) > 0 NOT when f ‘ (x) = 0 as
27
Describe the intervals for which x is increasing or decreasing
28
What is a decreasing function?
When f ‘ (x) < 0
29
How would you show that a function is increasing?
By getting some value of x squared —> as this will always be positive despite the value of x And an added value This can be done by normal, or by completing the square
30
31
32
33
what is the stationary point/ turning points?
where f ' (x) =0
34
what are the three types of turning points?
* local minima * local maxima * saddle point (point of inflection) | not all points of infliction are turning points
35
what does "**local**" minima/ maxima mean?
it is the largest/ smallest value within the vicinity. "global" manima/ maxima mean highest/ smallest value in the entire function | cubics can never be global as they tend to infinity
36
what is a point of inflection?
* increasing before the point is the point, increasing after * decreasing before, decreasing after | the direction of lines/ gradient is the same before and after
37
38
how would you determine from the gradient if there is a * local maximum point * local minimum point * point of inflection
1. gradient [-] ----> [+] 2. gradient [+]---->[-] 3. gradient [+]---->[+], [-]----> [-]
39
40
what does the second derivative tell you?
how quickly the gradient is increasing or decreasing
41
what does an increasing gradient look like?
* going from negative to positive * tangent becomes less steeper | postive second derivertive
42
what does a decreasing gradient look like?
* tangent becomes steeper | negative second derivative
43
what does it mean when 1. f " (a) >0 2. f " (a) <0 3. f "(a) =0
1. local minimum 2. local maximum 3. USELESSS instead substitute previous and pre values of x
44
45
How would you sketch this gradient of this graph (y=x) on y =f’(x)
X axis becomes gradient, all TPS turn into roots
46
Sketch the gradient of this graph
47
How many degrees smaller will the gradient function be than the original function ?
1
48
Sketch the gradient function of this graph
49
In general if the original function f(x) has any horizontal asymptotes how will this be shown in the ketch of the gradient function
As an asymptote to the x axis
50
Sketch gradient function of the following graphs
51
Sketch the gradient function of the graph that has vertical asymptotes
Vertical asymptotes stay the same in gradient graph aswell
52
Sketch the gradient function of the graph that has vertical asymptotes
Vertical asymptotes stay the same in gradient graph aswell
53
What are optimisation problems?
Trying to maximise/ minimise a value of a variable we can control
54
Notation
55
56
57
Make sure to discard invalid solutions
58
59
60