What is an analytical method vs a numerical method?
An analysis gives exact values for the equation
A numerical does not give exact values but can usually find approximate values for required degree of accuracy
When does the change in sign method fail?
When function is not continuous between range (asymptomatic nature)
When even number of roots between interval. To avoid this choose values very close to the root/ smaller intervals
Curve touches the x axis so there will be no change in sign despite root (repeated root)
What is the interval bisection method?
Halving the given interval each time using midpoints
What does it mean to take iterations (graphically)?
Split the equation into two line equations.
With given starting x value go to rearranged equation line. Then from this y value seek the corresponding x value and see where this x value lies on rearranged equation. Then repeat
What are some problems with fixed point iterations?
Usually choosing an appropriate starting point.
Some set of iterations will end up diverging or will converge to the wrong root. The diverging is caused when gradient of function is steeper than y=x
Fun
It’s cos the magnitude of the gradient of the second one is mire than y=x (1)
Fun
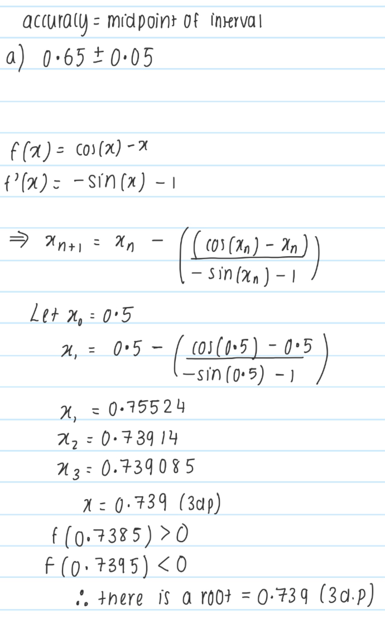
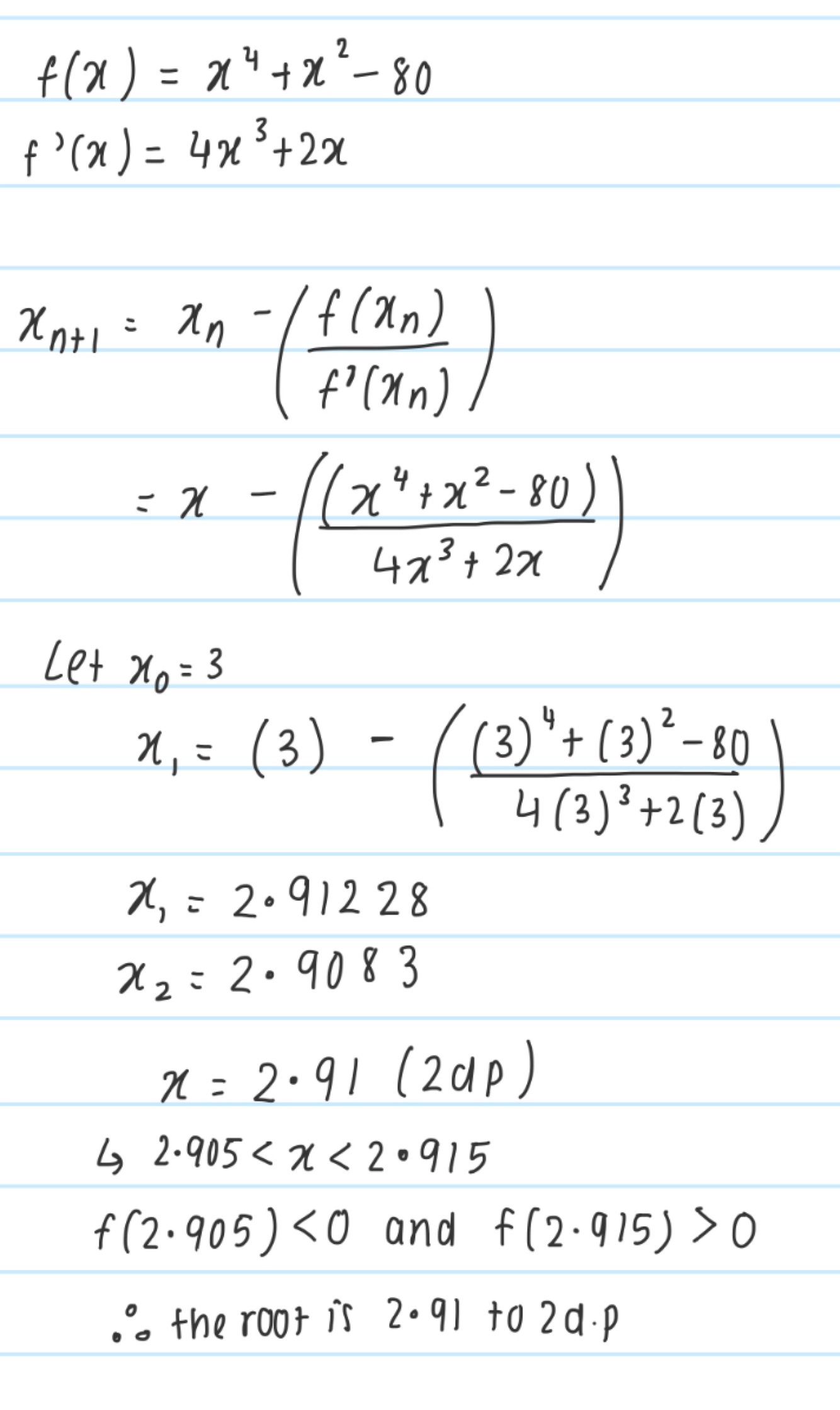
What is the Newton Raphson Method?
Finding the tangent at specific x value and then finding the x intercept to repeat, eventually coming closer to the root
What is the Newton Raphson Formula?
what are the reasons for why the Newton Raphson method fails?
What happens when the initial value is too close to a stationary point?
No root is found