Further Differentiation Flashcards

(24 cards)

1
Q

What is the long winded method of chain rule?

A
  1. Make substitution of u=
  2. Find du/dx
  3. Find dy/du
  4. Multiply the two together
How well did you know this?
1
Not at all
2
3
4
5
Perfectly
2
Q

What is the fast way for using chain rule?

A
  1. Differentiate the “inside function” and put this outside
  2. Differentiate the outside function normally
How well did you know this?
1
Not at all
2
3
4
5
Perfectly
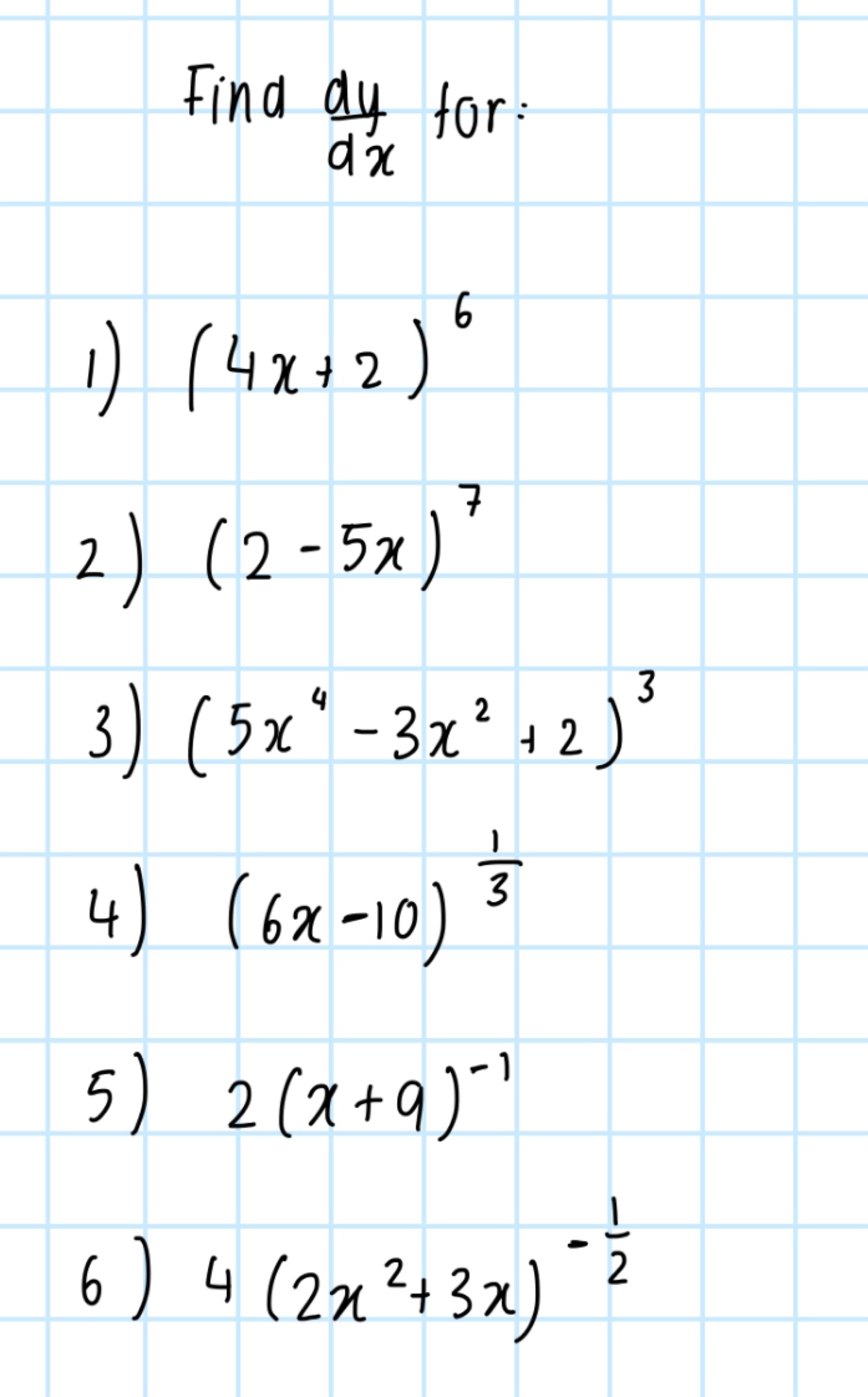
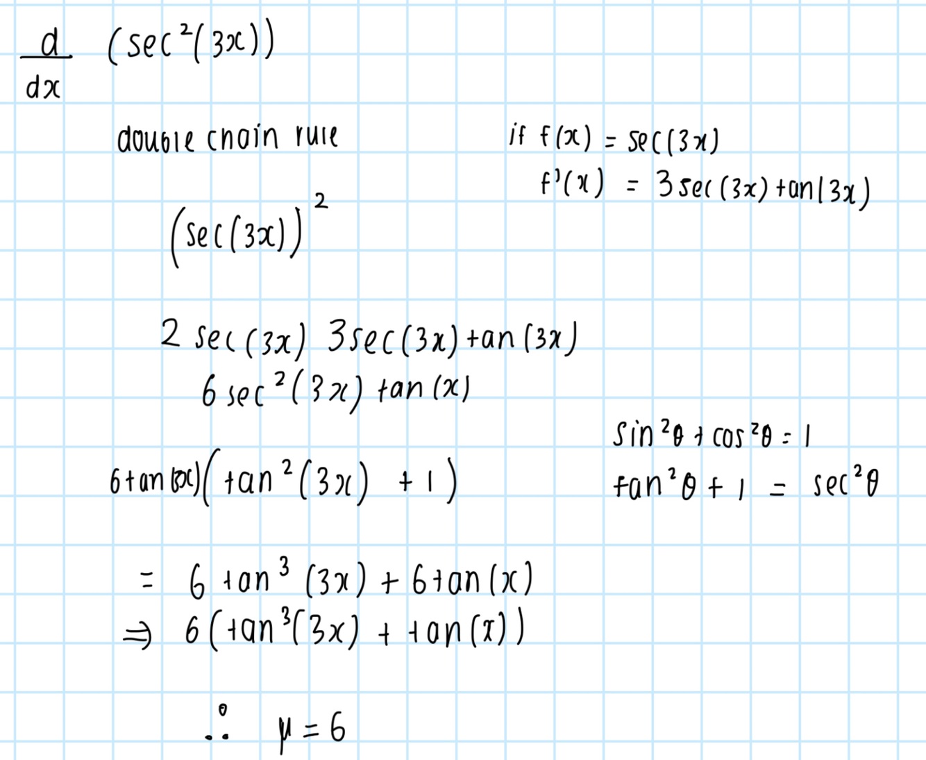
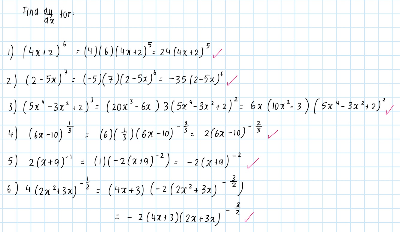
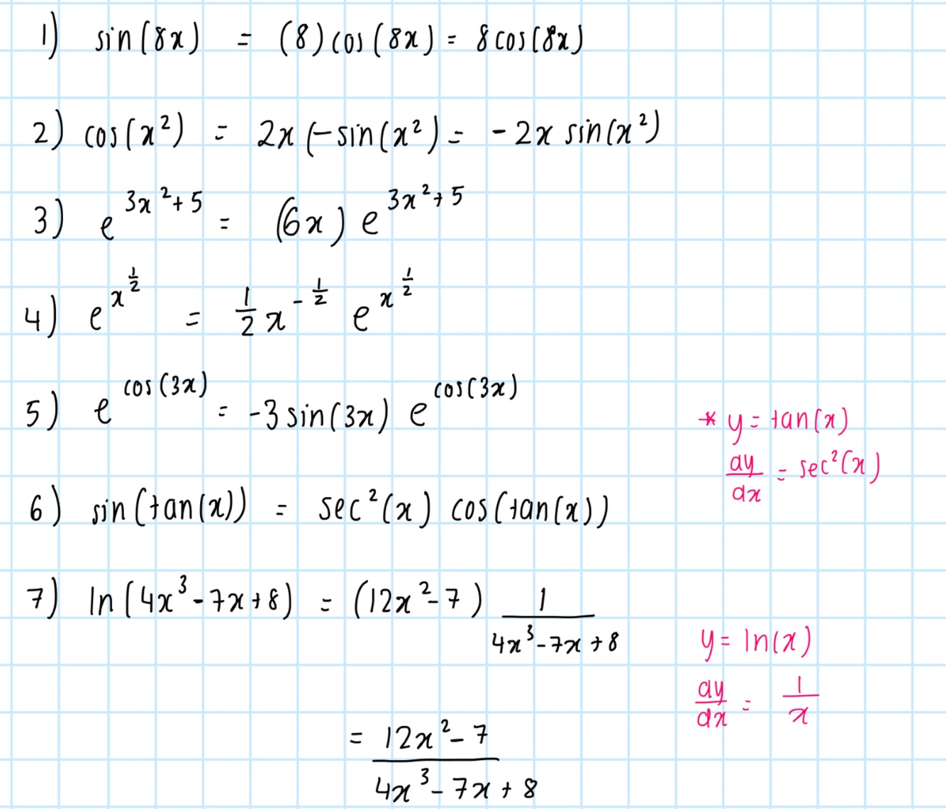
3
Q

Differentiate using fast method

A
How well did you know this?
1
Not at all
2
3
4
5
Perfectly
4
Q

Differentiate using fast method

A
How well did you know this?
1
Not at all
2
3
4
5
Perfectly
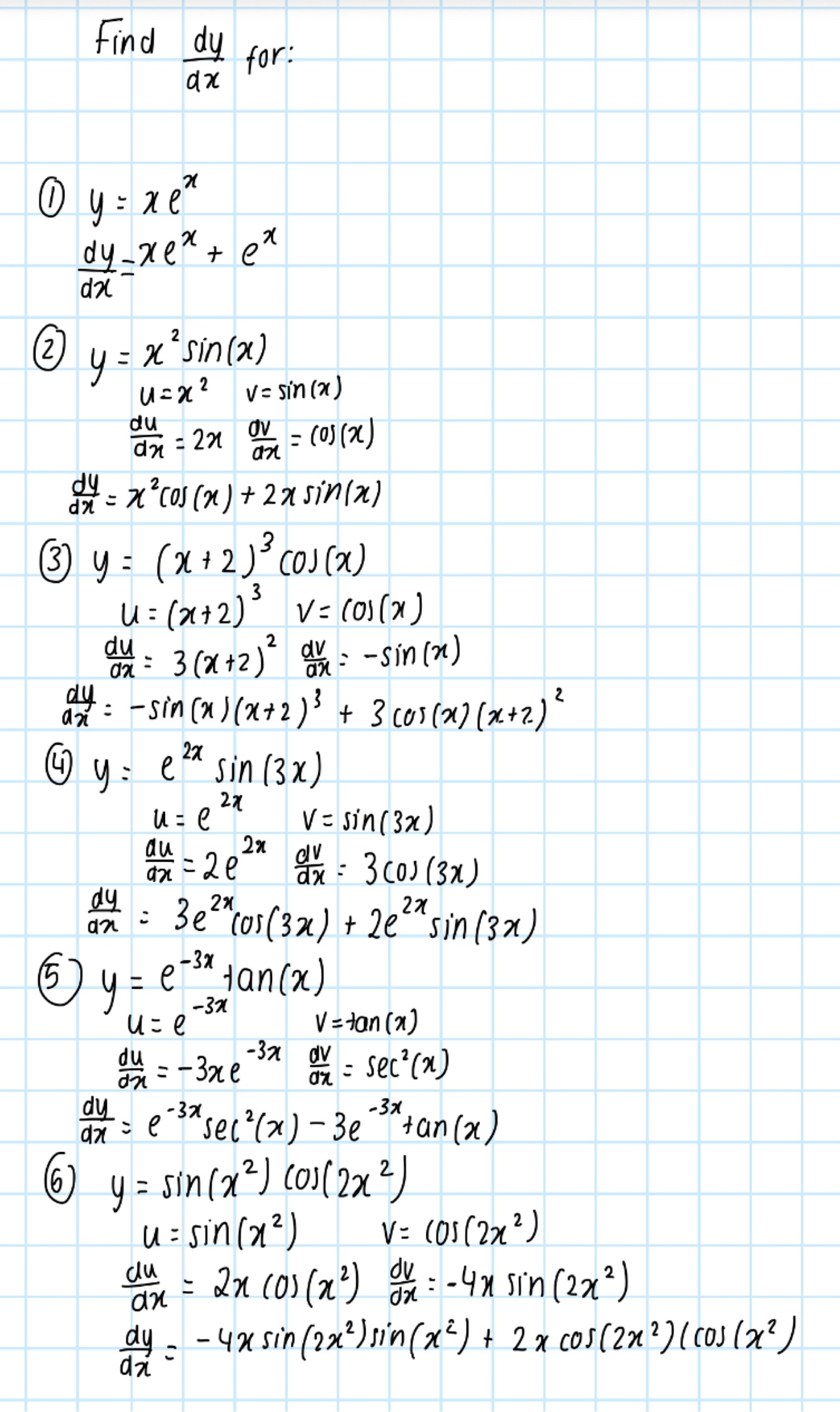
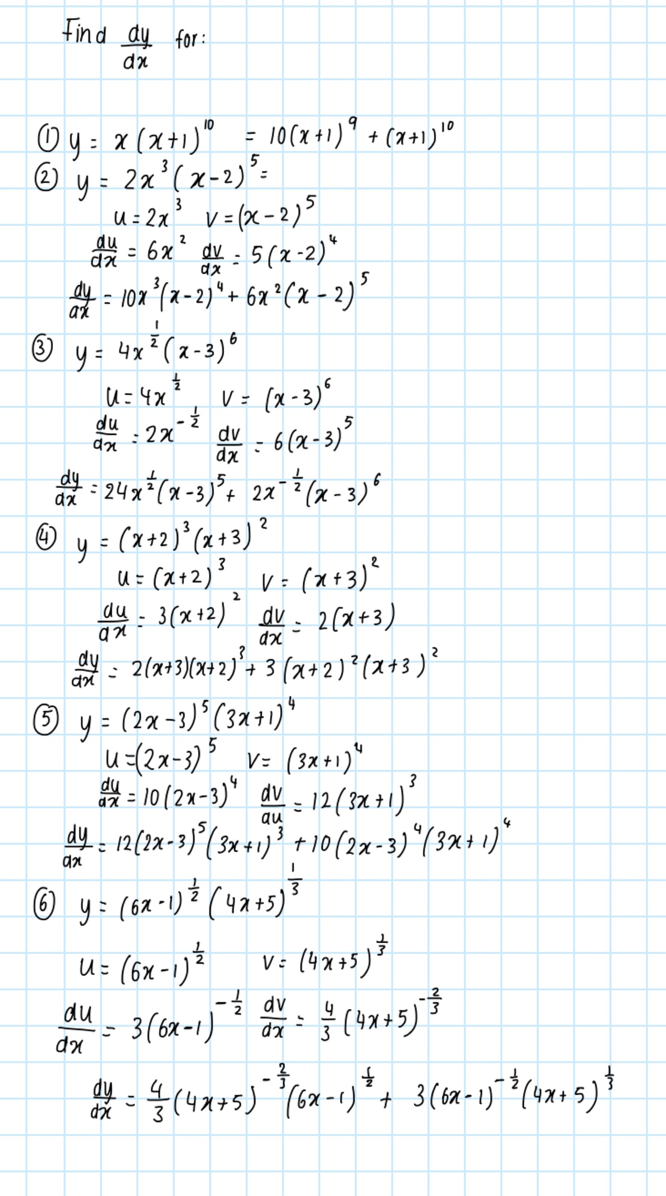
5
Q

What is the method for product rule?

A
How well did you know this?
1
Not at all
2
3
4
5
Perfectly
6
Q
A
How well did you know this?
1
Not at all
2
3
4
5
Perfectly
7
Q
A
How well did you know this?
1
Not at all
2
3
4
5
Perfectly
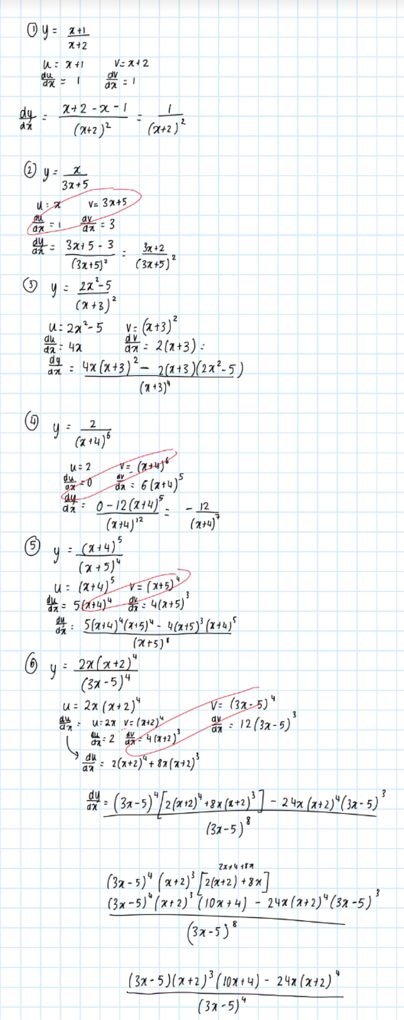
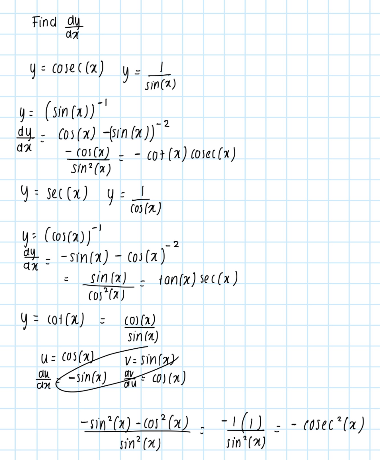
8
Q

What’s the quotient rule?

A
How well did you know this?
1
Not at all
2
3
4
5
Perfectly
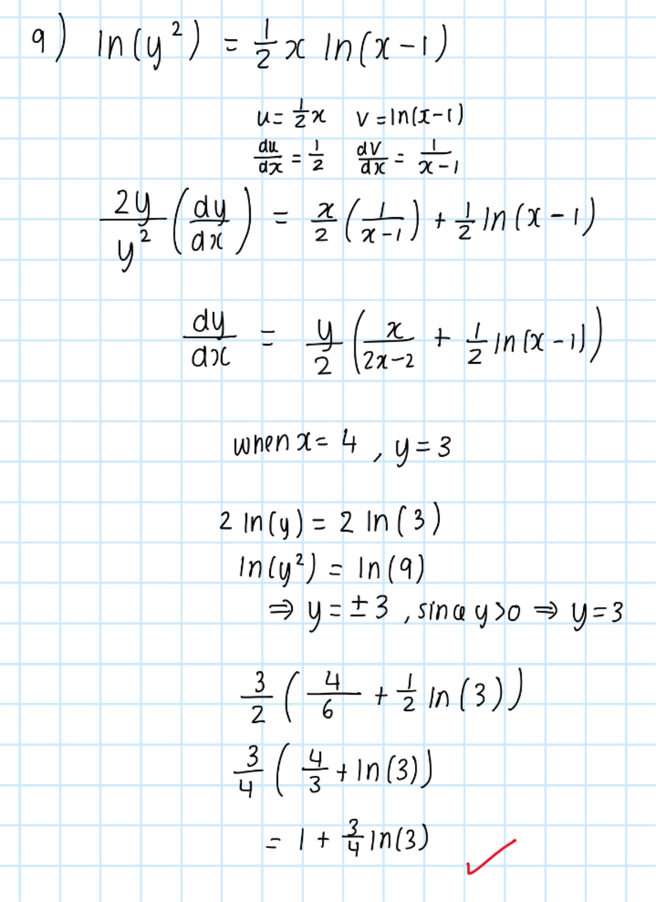
9
Q
A
How well did you know this?
1
Not at all
2
3
4
5
Perfectly
10
Q
A
How well did you know this?
1
Not at all
2
3
4
5
Perfectly
11
Q

What is the gradient of the inverse of a function?

A
How well did you know this?
1
Not at all
2
3
4
5
Perfectly
12
Q
A
How well did you know this?
1
Not at all
2
3
4
5
Perfectly
13
Q

Prove that the derivative of ln(x) is 1/x

A
How well did you know this?
1
Not at all
2
3
4
5
Perfectly
14
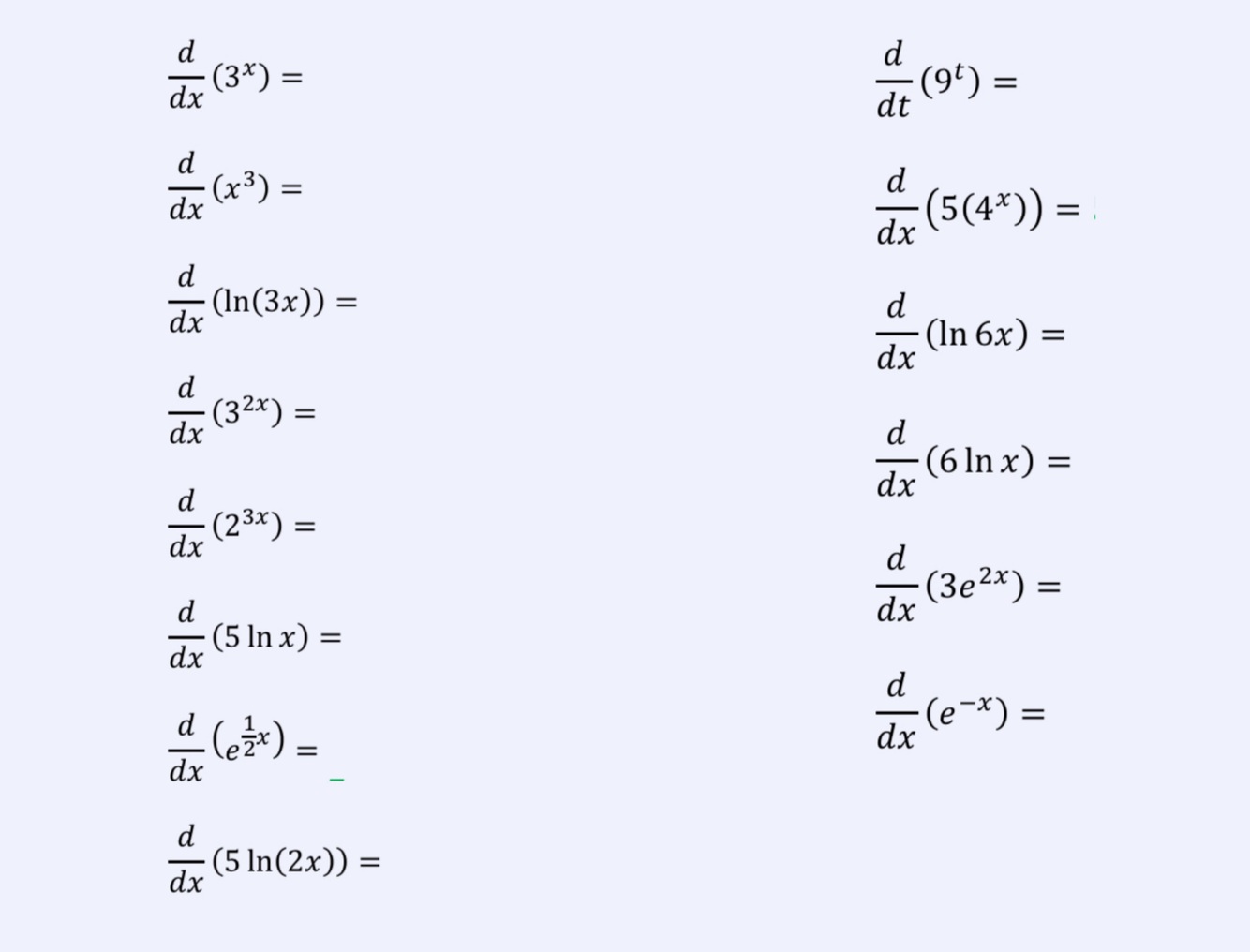
Q

What is the derivative of a ^x?

A

ln of the base times Orginal
ln(a) a^x

How well did you know this?
1
Not at all
2
3
4
5
Perfectly
15
Q
A

ln of base times k times original

How well did you know this?
1
Not at all
2
3
4
5
Perfectly
20
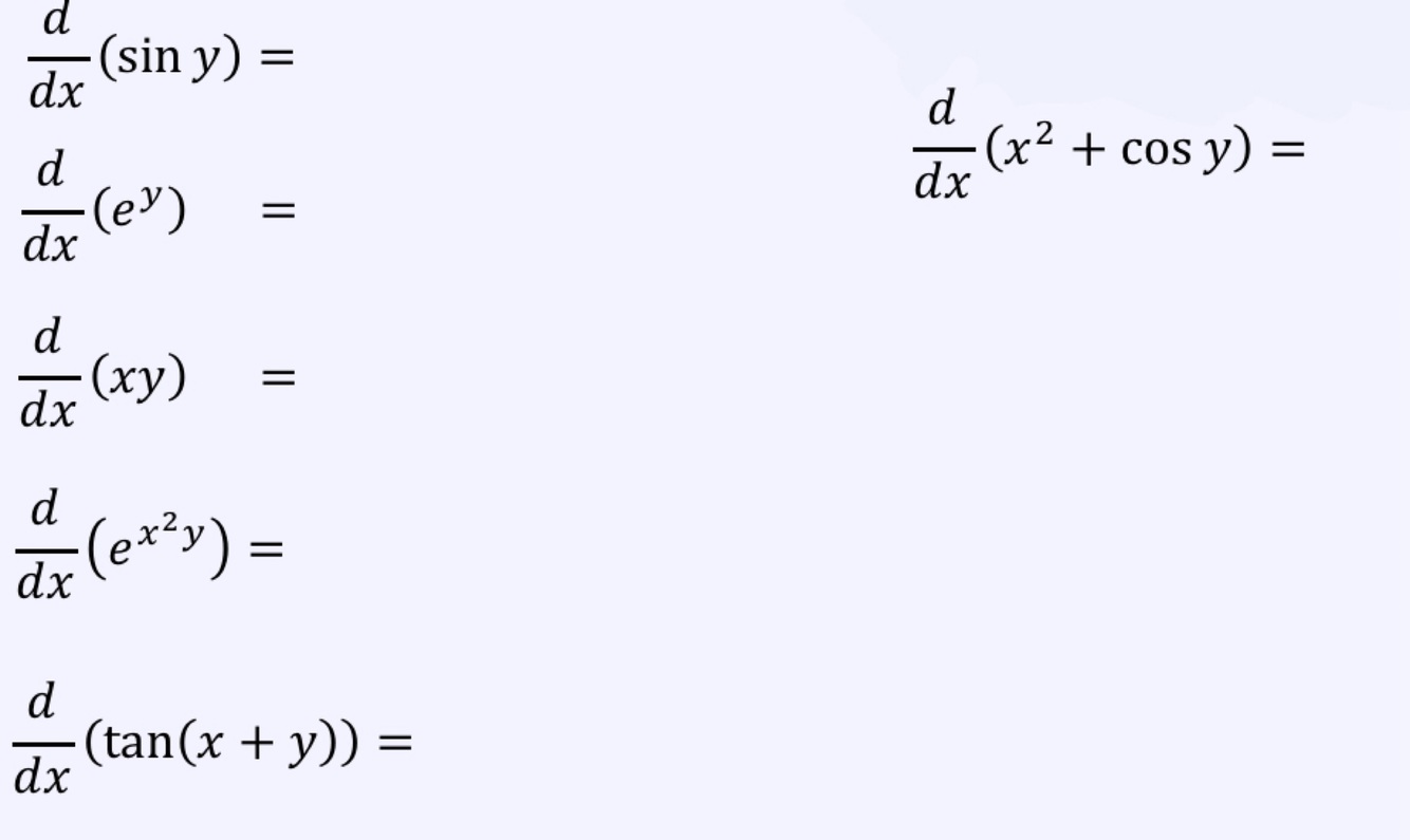
Q

Using implicit differentiation