Trig Yr2 Flashcards

(47 cards)

1
Q

What is one radian?

A

The movement of one radian’s worth around the circumference of the circle

How well did you know this?
1
Not at all
2
3
4
5
Perfectly
2
Q

Memorise

A
How well did you know this?
1
Not at all
2
3
4
5
Perfectly
3
Q

How do trig laws change for π?

A
How well did you know this?
1
Not at all
2
3
4
5
Perfectly
4
Q

What is the formula for arc length in radians ?

A

L = r θ

How well did you know this?
1
Not at all
2
3
4
5
Perfectly
5
Q

What does subtended mean?

A

Opposite or extended beneath

How well did you know this?
1
Not at all
2
3
4
5
Perfectly
6
Q
A
How well did you know this?
1
Not at all
2
3
4
5
Perfectly
7
Q

What is the area of a sector in radians?

A
How well did you know this?
1
Not at all
2
3
4
5
Perfectly
8
Q
A
How well did you know this?
1
Not at all
2
3
4
5
Perfectly
9
Q

What is the area of a segment in radians? (Formula)

A
How well did you know this?
1
Not at all
2
3
4
5
Perfectly
10
Q
A
How well did you know this?
1
Not at all
2
3
4
5
Perfectly
11
Q
A
How well did you know this?
1
Not at all
2
3
4
5
Perfectly
12
Q
A
How well did you know this?
1
Not at all
2
3
4
5
Perfectly
13
Q
A
How well did you know this?
1
Not at all
2
3
4
5
Perfectly
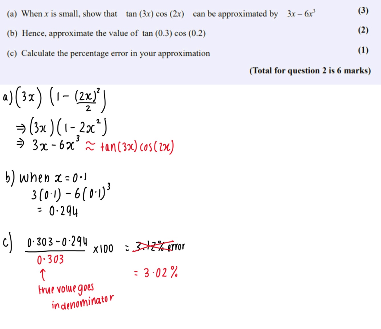
14
Q

What is the small angle approximation for sin, cos and tan? (Formula)

A
How well did you know this?
1
Not at all
2
3
4
5
Perfectly
15
Q
A
How well did you know this?
1
Not at all
2
3
4
5
Perfectly
16
Q
A
How well did you know this?
1
Not at all
2
3
4
5
Perfectly
17
Q
A
How well did you know this?
1
Not at all
2
3
4
5
Perfectly
18
Q

What is sec (x)?

A
How well did you know this?
1
Not at all
2
3
4
5
Perfectly
19
Q

What is cosec (x)?

20
Q

What is cot(x)?

21
Q

What 2 new identities are formed by the OG identity sin^2 (x) + cos^2 (x) =1?

22
Q

Draw the y=cosec(x) graph

23
Q

Draw the y=sec(x) graph

24
Q

Draw the graph of y=cot(x)

25
What is the quotient rule?
26
27
28
29
30
31
32
33
34
35
36
37
38
What is the reciprocal identity regarding tan and sec?
39
What is the reciprocal identity regarding cot and cosec?
40
41
42
43
44
45
Draw sin and arcsin between -π/2 and π/2, stating range and domain for each
46
Draw cos and arccos between -π/2 and π/2, stating range and domain for each
47
Draw tan and arctan between -π/2 and π/2, stating range and domain for each